🇳🇴 🇬🇧 🇩🇪 🇨🇿 🇫🇮

Meteor Bjørkelangenin yllä 2019-01-01 21:43:45 UTC

KML-tiedosto  |  Interaktiivinen kartta

Kartta näyttää meteorin suuntahavainnot. Vaaleammat viivat näyttävät suunnat havaintoasemilta meteorin ilmestyessä, ja tummemmat viivat näyttävät, missä se viimeksi nähtiin. Sininen nuoli näyttää meteorin näkyvän lennon.

static map
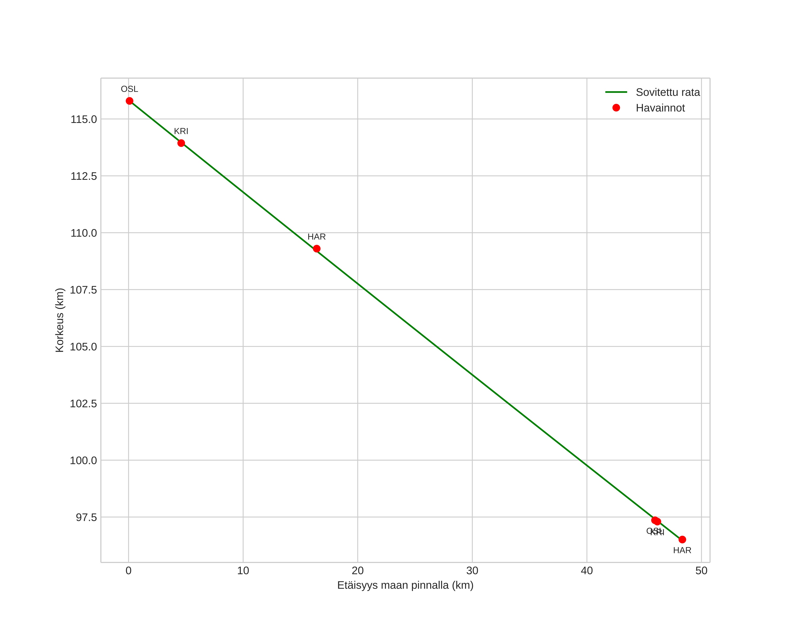
height profile
Meteorin ilmakehärata:
Alkukorkeus: 109,6 km
Loppukorkeus: 95,0 km
Alkupiste: 59,855N 12,105E
Loppupiste: 59,771N 11,467E
Suunta: 255,7°
Kallistuskulma: 21,6°
Tulonopeus: 64,3 km/s
Radiantin R,A,: 11:20 (170,1°)
Radiantin Dekl,: 25,4°
Meteoriparvi: desember-leonis-minoridene
Meteoroidin rataelementit:
Perihelietäisyys: 0,485 AU
Eksentrisyys: 0,991
Inklinaatio: 135,3°
Nousevan solmun pituus: 280,9°
Perihelin argumentti: 271,0°
Keskianomalia: 359,9°
Epookki: 2019 JAN 01 21:43:45
orbit plot

Ei-interaktiivinen kuvaaja | Interaktiivinen kuvaaja

position vs time
speed and acceleration