🇳🇴 🇬🇧 🇩🇪 🇨🇿 🇫🇮

Meteor, poloha: Finnsnes 2019-01-24 06:40:47 UTC

Soubor KML  |  InteraktivnĂ­ mapa

Mapa zobrazuje dráhy meteoru. Světlejší čáry ukazují směry od pozorovacích stanic při objevení se meteoru a tmavší čáry, kde byl naposledy viděn. Modrá šipka značí viditelnou dráhu meteoru.

static map
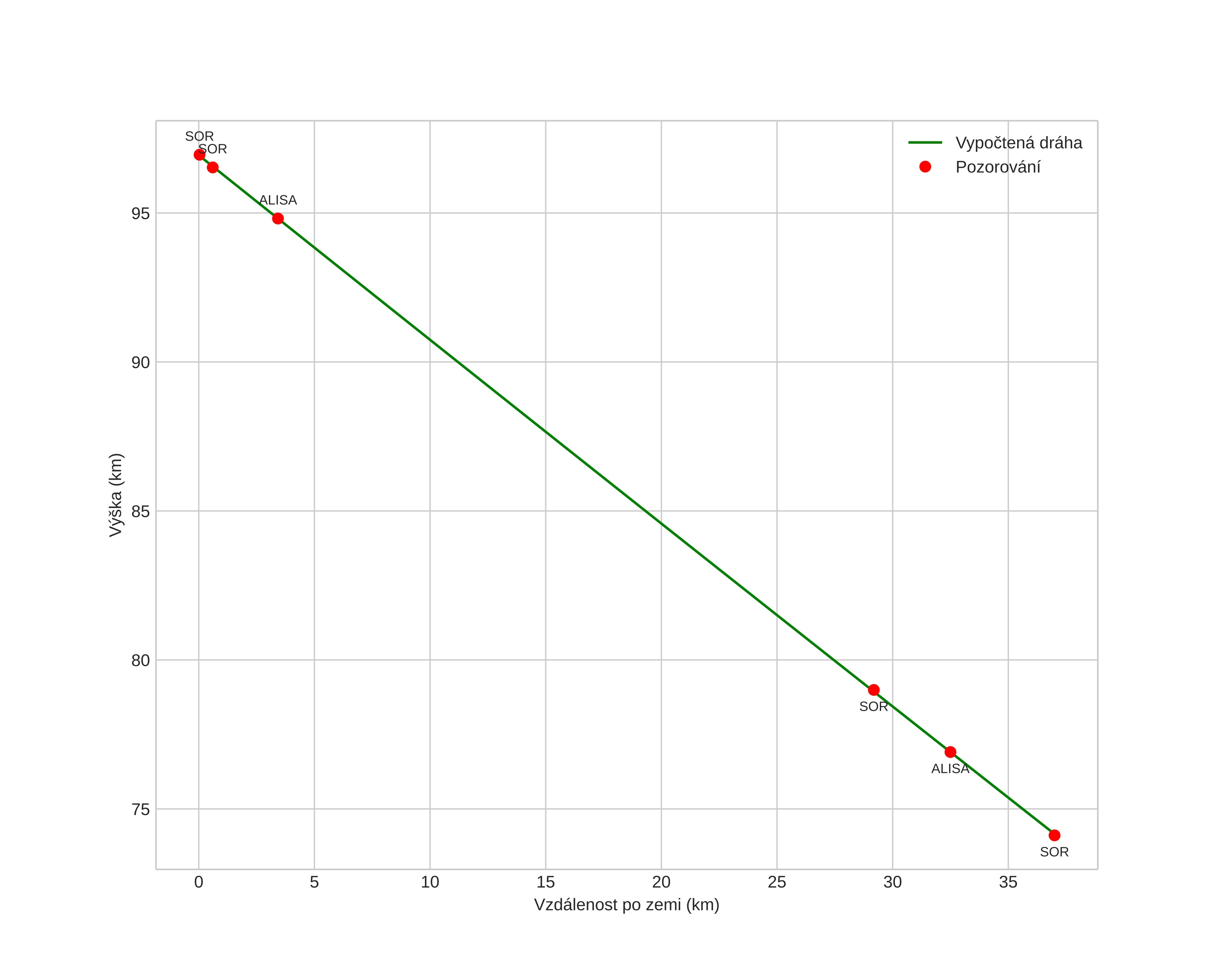
height profile
Atmosférická dráha meteoru:
Počáteční výška: 97,2 km
Konečná výška: 74,7 km
Počáteční poloha: 69,427N 17,286E
Konečná poloha: 69,664N 17,961E
Směr: 44,5°
Sklon: 31,1°
VstupnĂ­ rychlost: 61,6 km/s
Rektascenze radiantu: 13:26 (201,7°)
Deklinace radiantu: 15,2°
MeteorickĂ˝ roj: desember-leonis-minoridene
Elementy dráhy meteoroidu:
Vzdálenost v periheliu: 0,676 AU
Excentricita: 0,690
Sklon dráhy: 134,2°
Délka vzestupného uzlu: 303,7°
Argument perihelia: 256,6°
Střední anomálie: 346,7°
Epocha: 2019 JAN 24 06:40:47
orbit plot

NeinteraktivnĂ­ graf | InteraktivnĂ­ graf

position vs time
speed and acceleration