🇳🇴 🇬🇧 🇩🇪 🇨🇿 🇫🇮

Meteor Finnsnesin yllä 2019-01-24 06:40:47 UTC

KML-tiedosto  |  Interaktiivinen kartta

Kartta näyttää meteorin suuntahavainnot. Vaaleammat viivat näyttävät suunnat havaintoasemilta meteorin ilmestyessä, ja tummemmat viivat näyttävät, missä se viimeksi nähtiin. Sininen nuoli näyttää meteorin näkyvän lennon.

static map
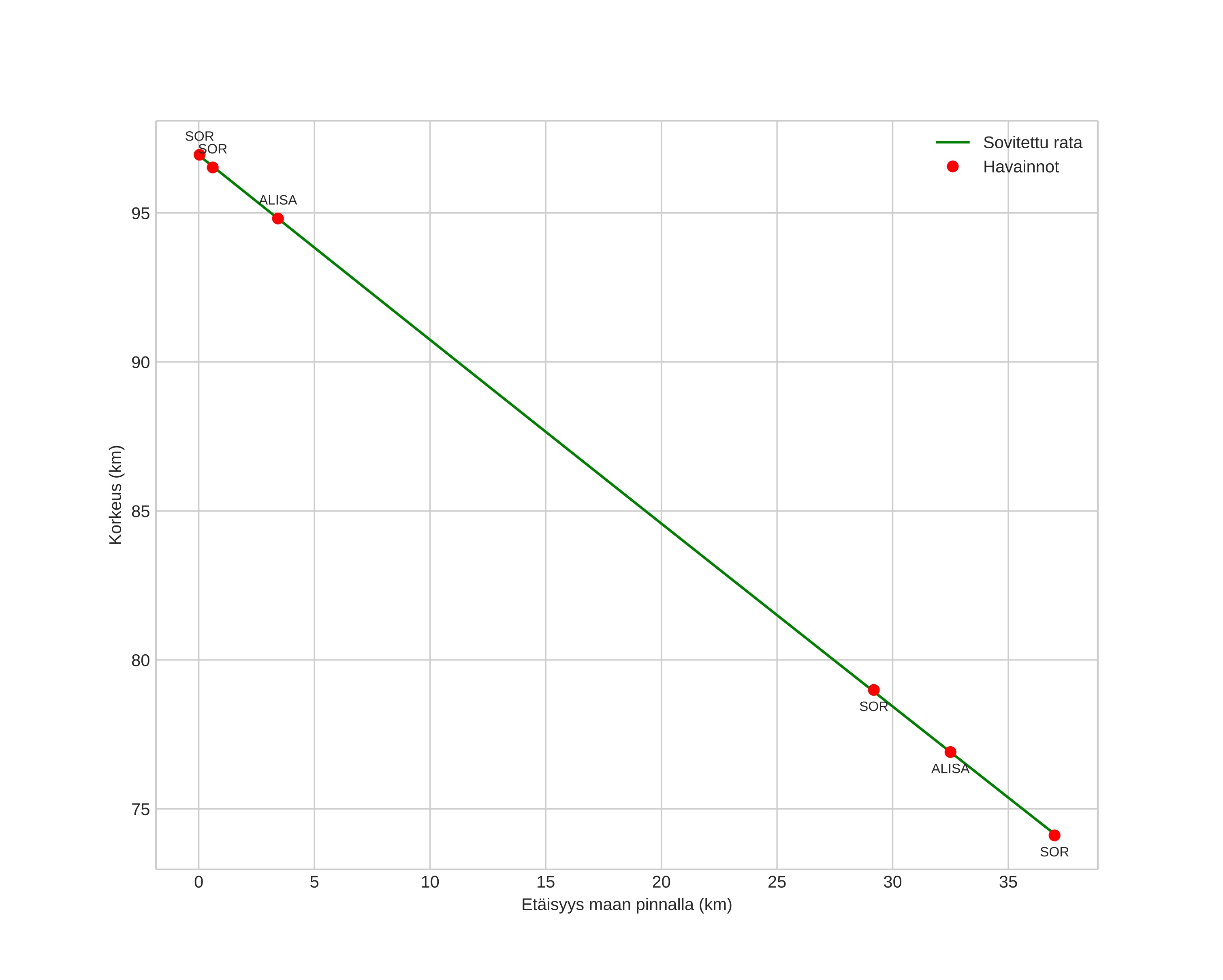
height profile
Meteorin ilmakehärata:
Alkukorkeus: 97,2 km
Loppukorkeus: 74,7 km
Alkupiste: 69,427N 17,286E
Loppupiste: 69,664N 17,961E
Suunta: 44,5°
Kallistuskulma: 31,1°
Tulonopeus: 61,6 km/s
Radiantin R,A,: 13:26 (201,7°)
Radiantin Dekl,: 15,2°
Meteoriparvi: desember-leonis-minoridene
Meteoroidin rataelementit:
Perihelietäisyys: 0,676 AU
Eksentrisyys: 0,690
Inklinaatio: 134,2°
Nousevan solmun pituus: 303,7°
Perihelin argumentti: 256,6°
Keskianomalia: 346,7°
Epookki: 2019 JAN 24 06:40:47
orbit plot

Ei-interaktiivinen kuvaaja | Interaktiivinen kuvaaja

position vs time
speed and acceleration