🇳🇴 🇬🇧 🇩🇪 🇨🇿 🇫🇮

Meteor über Finnsnes 2019-01-24 06:40:47 UTC

KML-Datei  |  Interaktive Karte

Die Karte zeigt die Peilungen für den Meteor. Die helleren Linien zeigen die Richtungen von den Beobachtungsorten beim Erscheinen des Meteors, und die dunkleren Linien, wo er zuletzt gesehen wurde. Der blaue Pfeil zeigt die sichtbare Bahn des Meteors.

static map
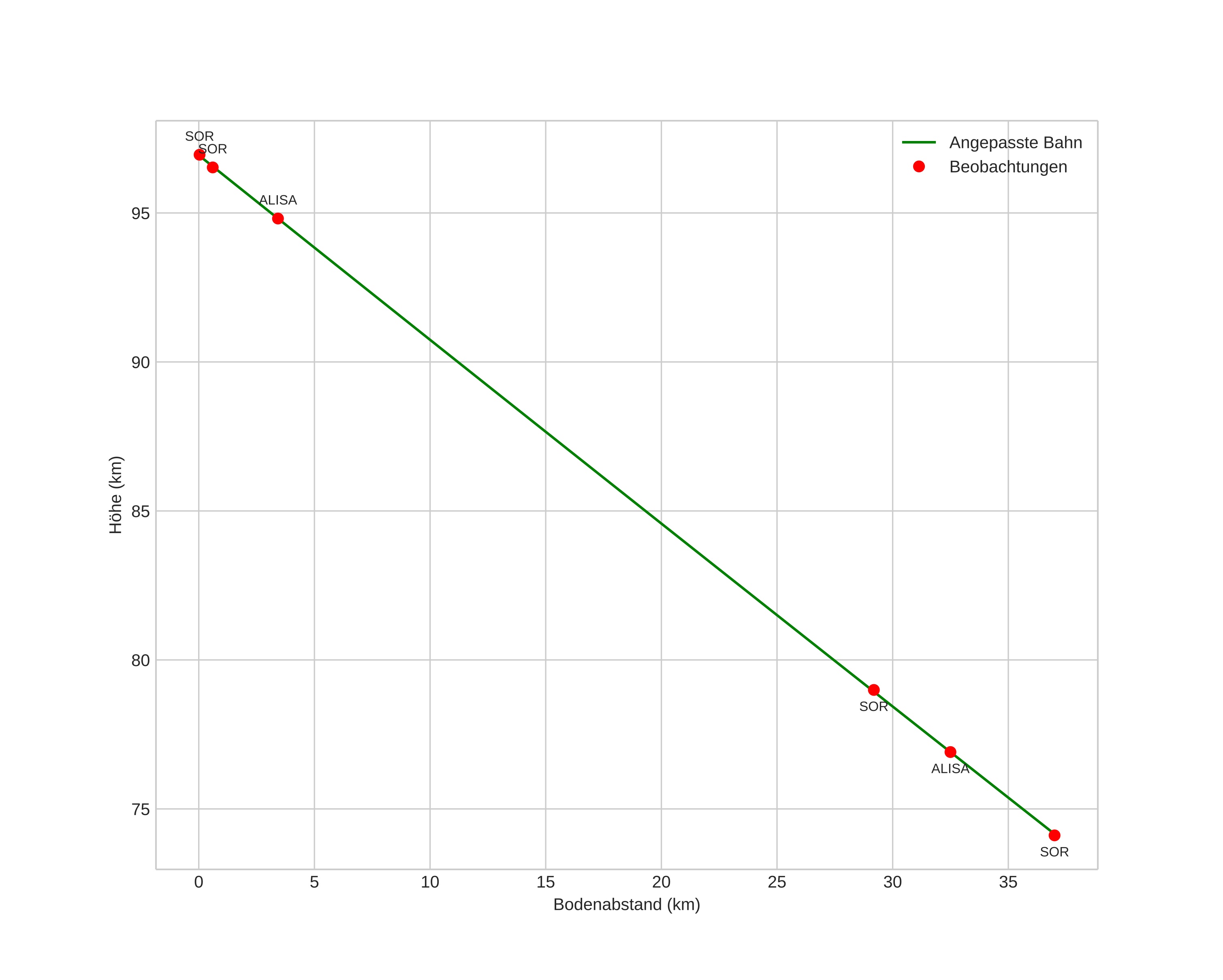
height profile
Atmosphärische Bahn des Meteors:
Anfangshöhe: 97,2 km
Endhöhe: 74,7 km
Startposition: 69,427N 17,286E
Endposition: 69,664N 17,961E
Richtung: 44,5°
Neigungswinkel: 31,1°
Eintrittsgeschwindigkeit: 61,6 km/s
Rektaszension des Radianten: 13:26 (201,7°)
Deklination des Radianten: 15,2°
Meteorstrom: desember-leonis-minoridene
Bahnelemente des Meteoroiden:
Periheldistanz: 0,676 AU
Exzentrizität: 0,690
Inklination: 134,2°
Länge des aufsteigenden Knotens: 303,7°
Argument des Perihels: 256,6°
Mittlere Anomalie: 346,7°
Epoche: 2019 JAN 24 06:40:47
orbit plot

Nicht-interaktives Diagramm | Interaktives Diagramm

position vs time
speed and acceleration