🇳🇴 🇬🇧 🇩🇪 🇨🇿 🇫🇮

Meteor, poloha: Malmberget 2019-02-08 04:24:55 UTC

Soubor KML  |  InteraktivnĂ­ mapa

Mapa zobrazuje dráhy meteoru. Světlejší čáry ukazují směry od pozorovacích stanic při objevení se meteoru a tmavší čáry, kde byl naposledy viděn. Modrá šipka značí viditelnou dráhu meteoru.

static map
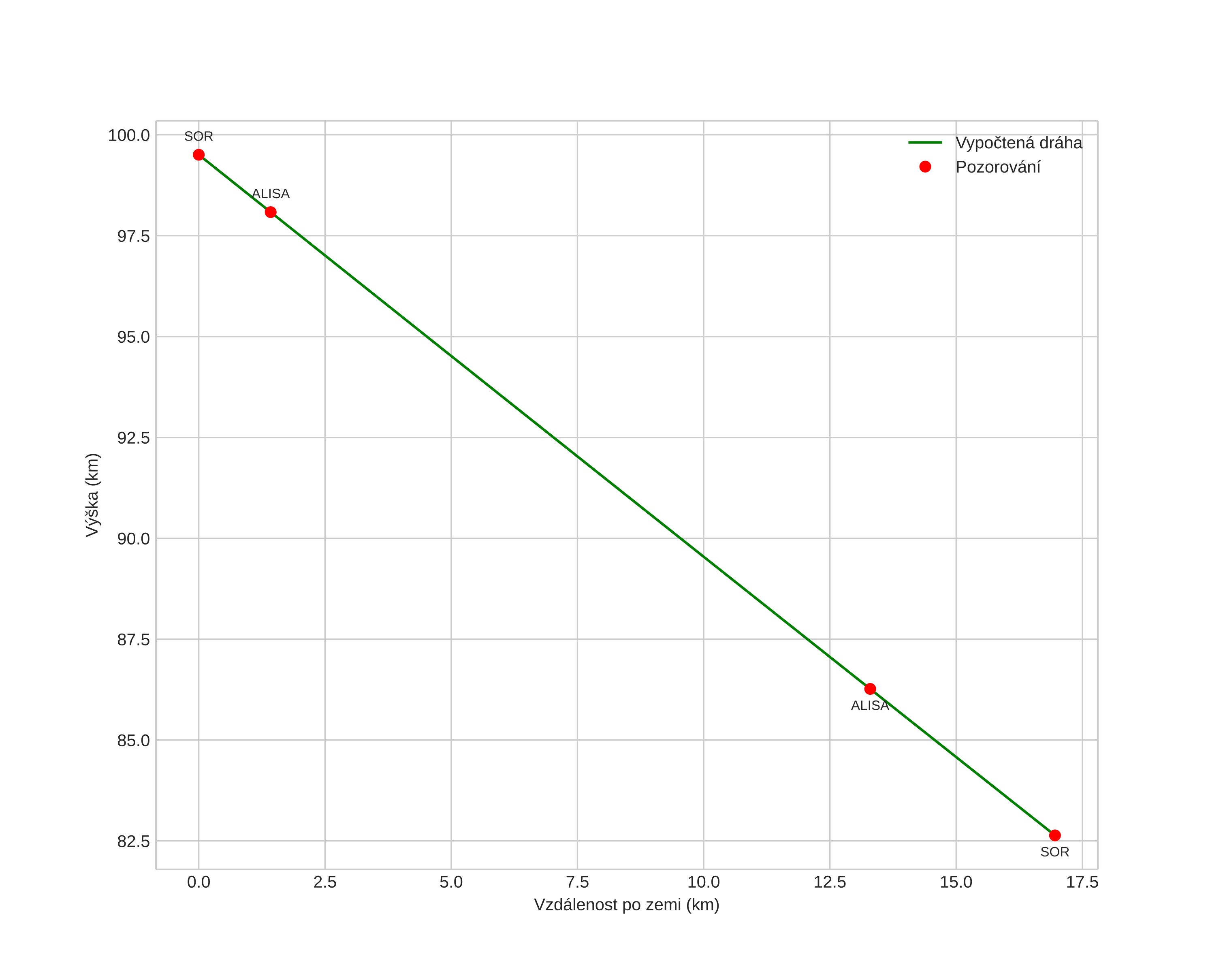
height profile
Atmosférická dráha meteoru:
Počáteční výška: 97,2 km
Konečná výška: 81,8 km
Počáteční poloha: 67,340N 20,665E
Konečná poloha: 67,440N 20,905E
Směr: 42,6°
Sklon: 45,5°
VstupnĂ­ rychlost: 55,5 km/s
Rektascenze radiantu: 12:48 (192,0°)
Deklinace radiantu: 26,9°
MeteorickĂ˝ roj: sporadickĂ˝
Elementy dráhy meteoroidu:
Vzdálenost v periheliu: 0,373 AU
Excentricita: 1,080
Sklon dráhy: 91,4°
Délka vzestupného uzlu: 318,8°
Argument perihelia: 281,4°
Střední anomálie: -3,5°
Epocha: 2019 FEB 08 04:24:55
orbit plot

NeinteraktivnĂ­ graf | InteraktivnĂ­ graf

position vs time
speed and acceleration