🇳🇴 🇬🇧 🇩🇪 🇨🇿 🇫🇮

Meteor Malmbergetin yllä 2019-02-08 04:24:55 UTC

KML-tiedosto  |  Interaktiivinen kartta

Kartta näyttää meteorin suuntahavainnot. Vaaleammat viivat näyttävät suunnat havaintoasemilta meteorin ilmestyessä, ja tummemmat viivat näyttävät, missä se viimeksi nähtiin. Sininen nuoli näyttää meteorin näkyvän lennon.

static map
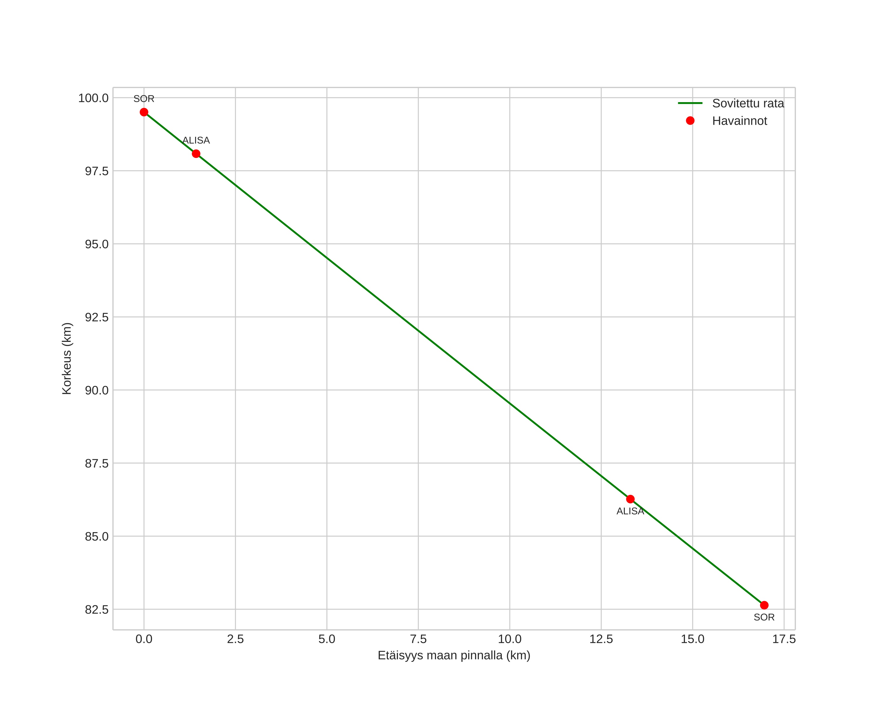
height profile
Meteorin ilmakehärata:
Alkukorkeus: 97,2 km
Loppukorkeus: 81,8 km
Alkupiste: 67,340N 20,665E
Loppupiste: 67,440N 20,905E
Suunta: 42,6°
Kallistuskulma: 45,5°
Tulonopeus: 55,5 km/s
Radiantin R,A,: 12:48 (192,0°)
Radiantin Dekl,: 26,9°
Meteoriparvi: Sporadinen
Meteoroidin rataelementit:
Perihelietäisyys: 0,373 AU
Eksentrisyys: 1,080
Inklinaatio: 91,4°
Nousevan solmun pituus: 318,8°
Perihelin argumentti: 281,4°
Keskianomalia: -3,5°
Epookki: 2019 FEB 08 04:24:55
orbit plot

Ei-interaktiivinen kuvaaja | Interaktiivinen kuvaaja

position vs time
speed and acceleration