🇳🇴 🇬🇧 🇩🇪 🇨🇿 🇫🇮

Meteor über Malmberget 2019-02-08 04:24:55 UTC

KML-Datei  |  Interaktive Karte

Die Karte zeigt die Peilungen für den Meteor. Die helleren Linien zeigen die Richtungen von den Beobachtungsorten beim Erscheinen des Meteors, und die dunkleren Linien, wo er zuletzt gesehen wurde. Der blaue Pfeil zeigt die sichtbare Bahn des Meteors.

static map
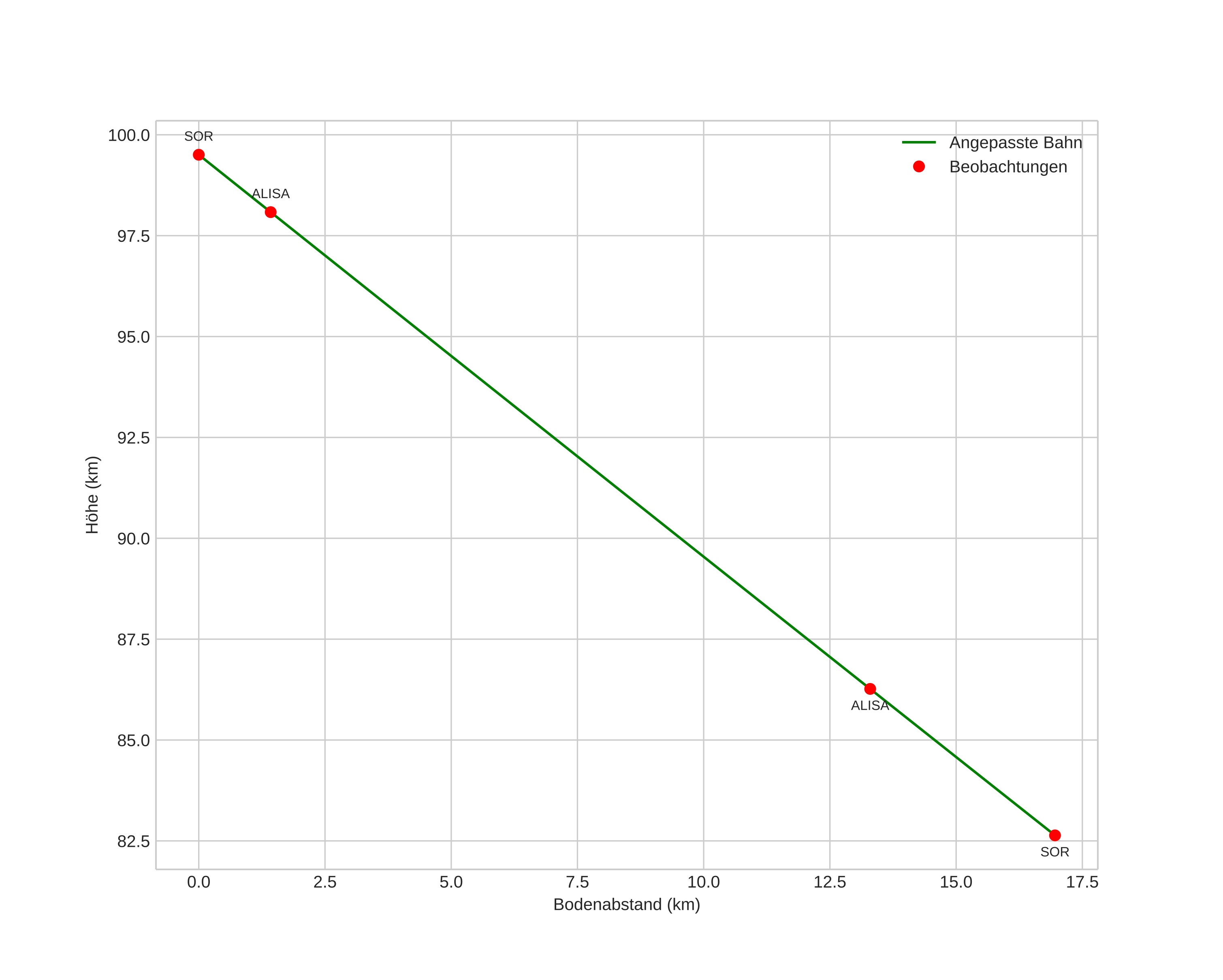
height profile
Atmosphärische Bahn des Meteors:
Anfangshöhe: 97,2 km
Endhöhe: 81,8 km
Startposition: 67,340N 20,665E
Endposition: 67,440N 20,905E
Richtung: 42,6°
Neigungswinkel: 45,5°
Eintrittsgeschwindigkeit: 55,5 km/s
Rektaszension des Radianten: 12:48 (192,0°)
Deklination des Radianten: 26,9°
Meteorstrom: sporadisch
Bahnelemente des Meteoroiden:
Periheldistanz: 0,373 AU
Exzentrizität: 1,080
Inklination: 91,4°
Länge des aufsteigenden Knotens: 318,8°
Argument des Perihels: 281,4°
Mittlere Anomalie: -3,5°
Epoche: 2019 FEB 08 04:24:55
orbit plot

Nicht-interaktives Diagramm | Interaktives Diagramm

position vs time
speed and acceleration