🇳🇴 🇬🇧 🇩🇪 🇨🇿 🇫🇮

Meteor, poloha: Fossby 2019-04-23 23:56:10 UTC

Soubor KML  |  InteraktivnĂ­ mapa

Mapa zobrazuje dráhy meteoru. Světlejší čáry ukazují směry od pozorovacích stanic při objevení se meteoru a tmavší čáry, kde byl naposledy viděn. Modrá šipka značí viditelnou dráhu meteoru.

static map
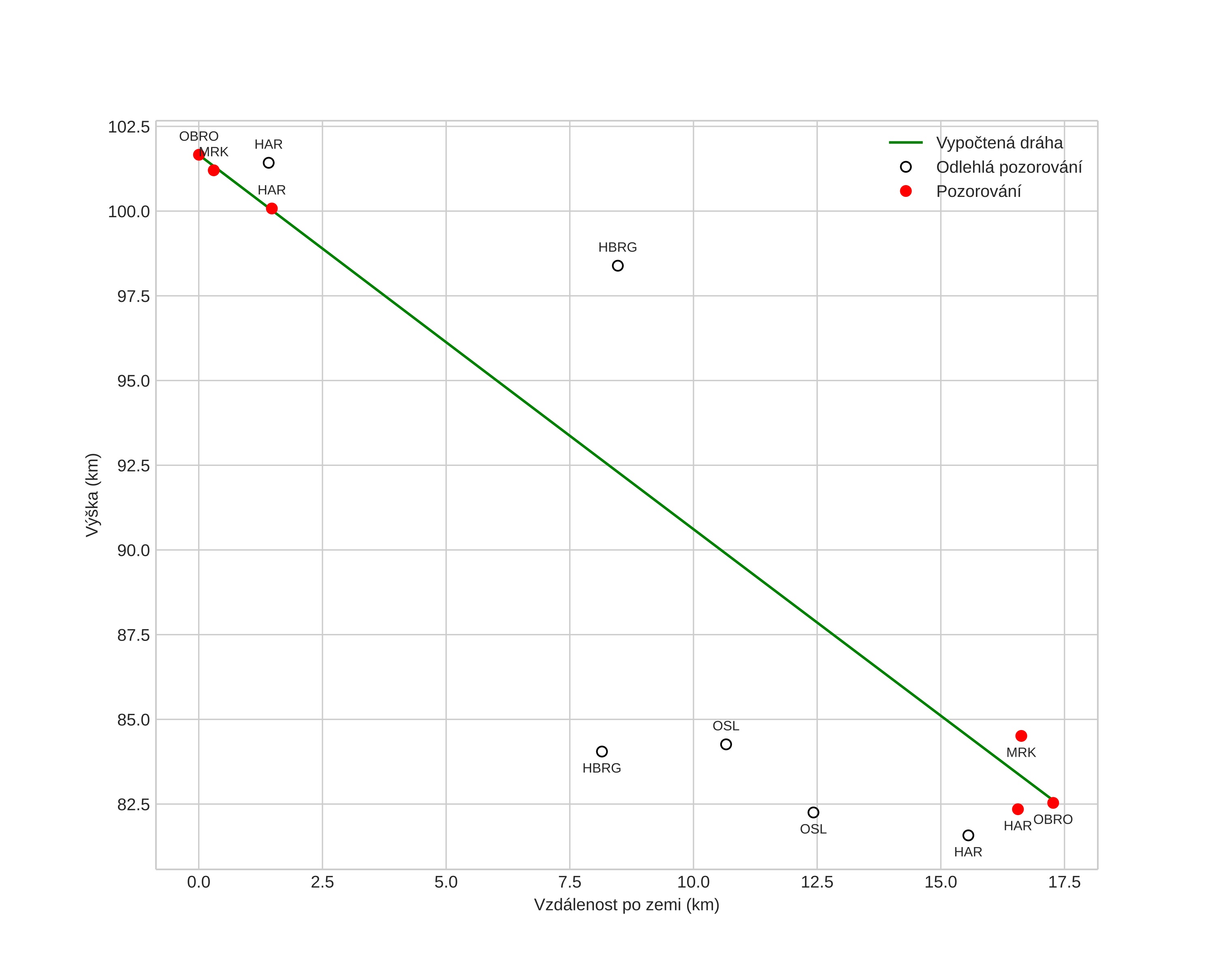
height profile
Atmosférická dráha meteoru:
Počáteční výška: 102,0 km
Konečná výška: 82,2 km
Počáteční poloha: 58,963N 11,950E
Konečná poloha: 59,000N 11,657E
Směr: 283,9°
Sklon: 48,9°
VstupnĂ­ rychlost: 45,8 km/s
Rektascenze radiantu: 18:12 (273,2°)
Deklinace radiantu: 33,9°
MeteorickĂ˝ roj: Lyridy
Elementy dráhy meteoroidu:
Vzdálenost v periheliu: 0,921 AU
Excentricita: 0,805
Sklon dráhy: 77,0°
Délka vzestupného uzlu: 33,3°
Argument perihelia: 215,7°
Střední anomálie: 357,6°
Epocha: 2019 APR 23 23:56:10
orbit plot

NeinteraktivnĂ­ graf | InteraktivnĂ­ graf

position vs time
speed and acceleration