🇳🇴 🇬🇧 🇩🇪 🇨🇿 🇫🇮

Meteor Fossbyn yllä 2019-04-23 23:56:10 UTC

KML-tiedosto  |  Interaktiivinen kartta

Kartta näyttää meteorin suuntahavainnot. Vaaleammat viivat näyttävät suunnat havaintoasemilta meteorin ilmestyessä, ja tummemmat viivat näyttävät, missä se viimeksi nähtiin. Sininen nuoli näyttää meteorin näkyvän lennon.

static map
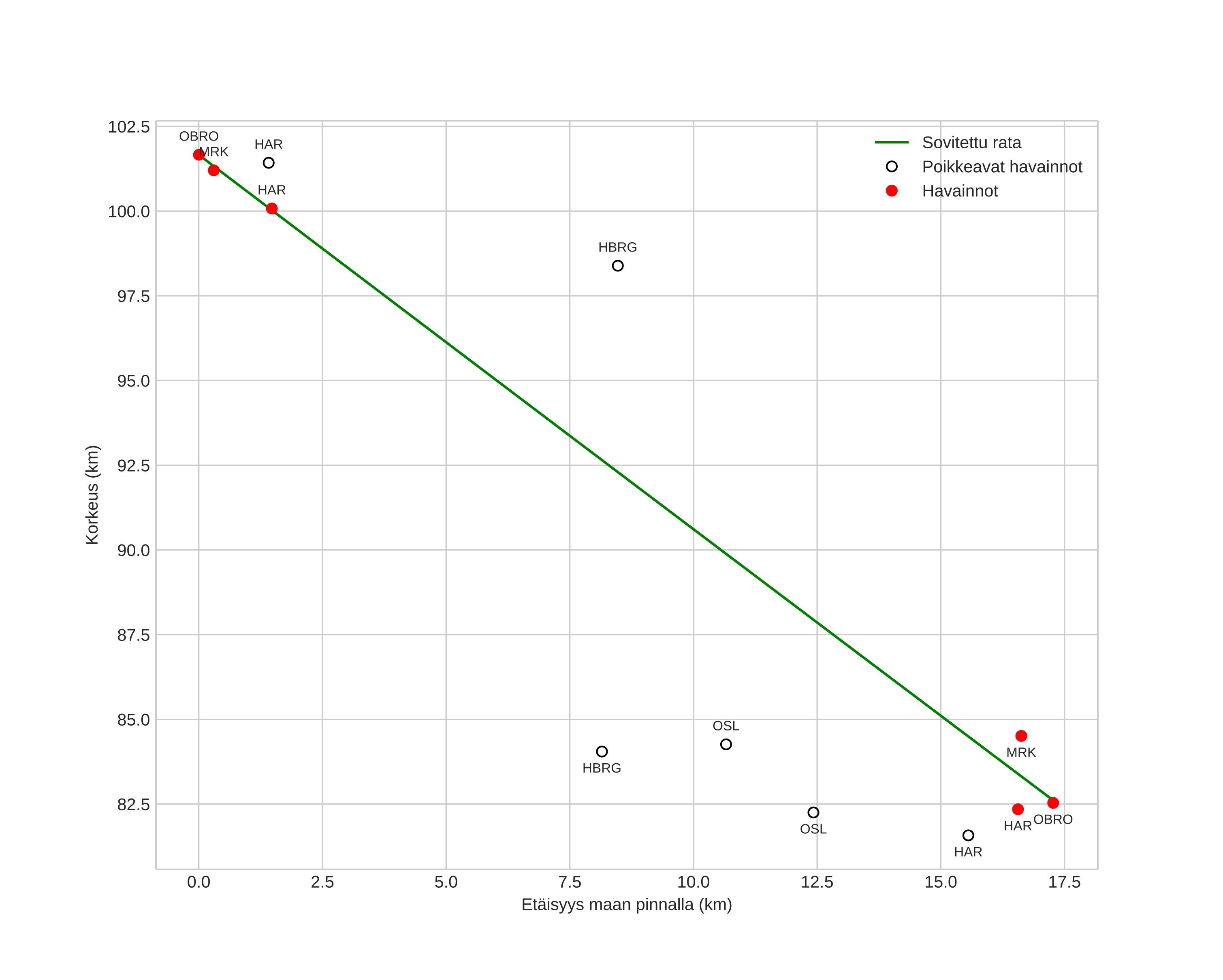
height profile
Meteorin ilmakehärata:
Alkukorkeus: 102,0 km
Loppukorkeus: 82,2 km
Alkupiste: 58,963N 11,950E
Loppupiste: 59,000N 11,657E
Suunta: 283,9°
Kallistuskulma: 48,9°
Tulonopeus: 45,8 km/s
Radiantin R,A,: 18:12 (273,2°)
Radiantin Dekl,: 33,9°
Meteoriparvi: Lyridit
Meteoroidin rataelementit:
Perihelietäisyys: 0,921 AU
Eksentrisyys: 0,805
Inklinaatio: 77,0°
Nousevan solmun pituus: 33,3°
Perihelin argumentti: 215,7°
Keskianomalia: 357,6°
Epookki: 2019 APR 23 23:56:10
orbit plot

Ei-interaktiivinen kuvaaja | Interaktiivinen kuvaaja

position vs time
speed and acceleration