🇳🇴 🇬🇧 🇩🇪 🇨🇿 🇫🇮

Meteor über Fossby 2019-04-23 23:56:10 UTC

KML-Datei  |  Interaktive Karte

Die Karte zeigt die Peilungen für den Meteor. Die helleren Linien zeigen die Richtungen von den Beobachtungsorten beim Erscheinen des Meteors, und die dunkleren Linien, wo er zuletzt gesehen wurde. Der blaue Pfeil zeigt die sichtbare Bahn des Meteors.

static map
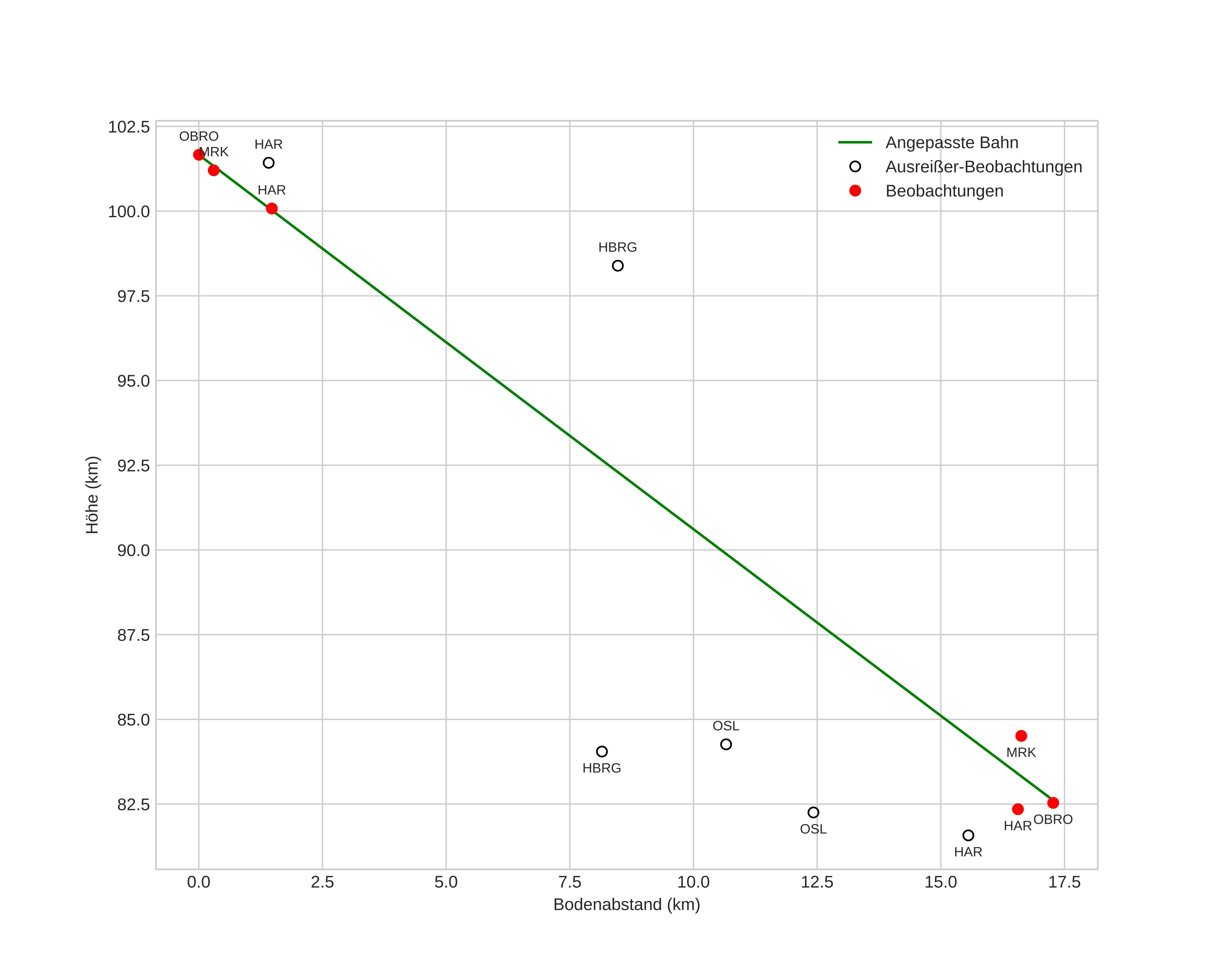
height profile
Atmosphärische Bahn des Meteors:
Anfangshöhe: 102,0 km
Endhöhe: 82,2 km
Startposition: 58,963N 11,950E
Endposition: 59,000N 11,657E
Richtung: 283,9°
Neigungswinkel: 48,9°
Eintrittsgeschwindigkeit: 45,8 km/s
Rektaszension des Radianten: 18:12 (273,2°)
Deklination des Radianten: 33,9°
Meteorstrom: Lyriden
Bahnelemente des Meteoroiden:
Periheldistanz: 0,921 AU
Exzentrizität: 0,805
Inklination: 77,0°
Länge des aufsteigenden Knotens: 33,3°
Argument des Perihels: 215,7°
Mittlere Anomalie: 357,6°
Epoche: 2019 APR 23 23:56:10
orbit plot

Nicht-interaktives Diagramm | Interaktives Diagramm

position vs time
speed and acceleration