🇳🇴 🇬🇧 🇩🇪 🇨🇿 🇫🇮

Meteor, poloha: Vikersund 2019-09-04 00:53:48 UTC

Soubor KML  |  InteraktivnĂ­ mapa

Mapa zobrazuje dráhy meteoru. Světlejší čáry ukazují směry od pozorovacích stanic při objevení se meteoru a tmavší čáry, kde byl naposledy viděn. Modrá šipka značí viditelnou dráhu meteoru.

static map
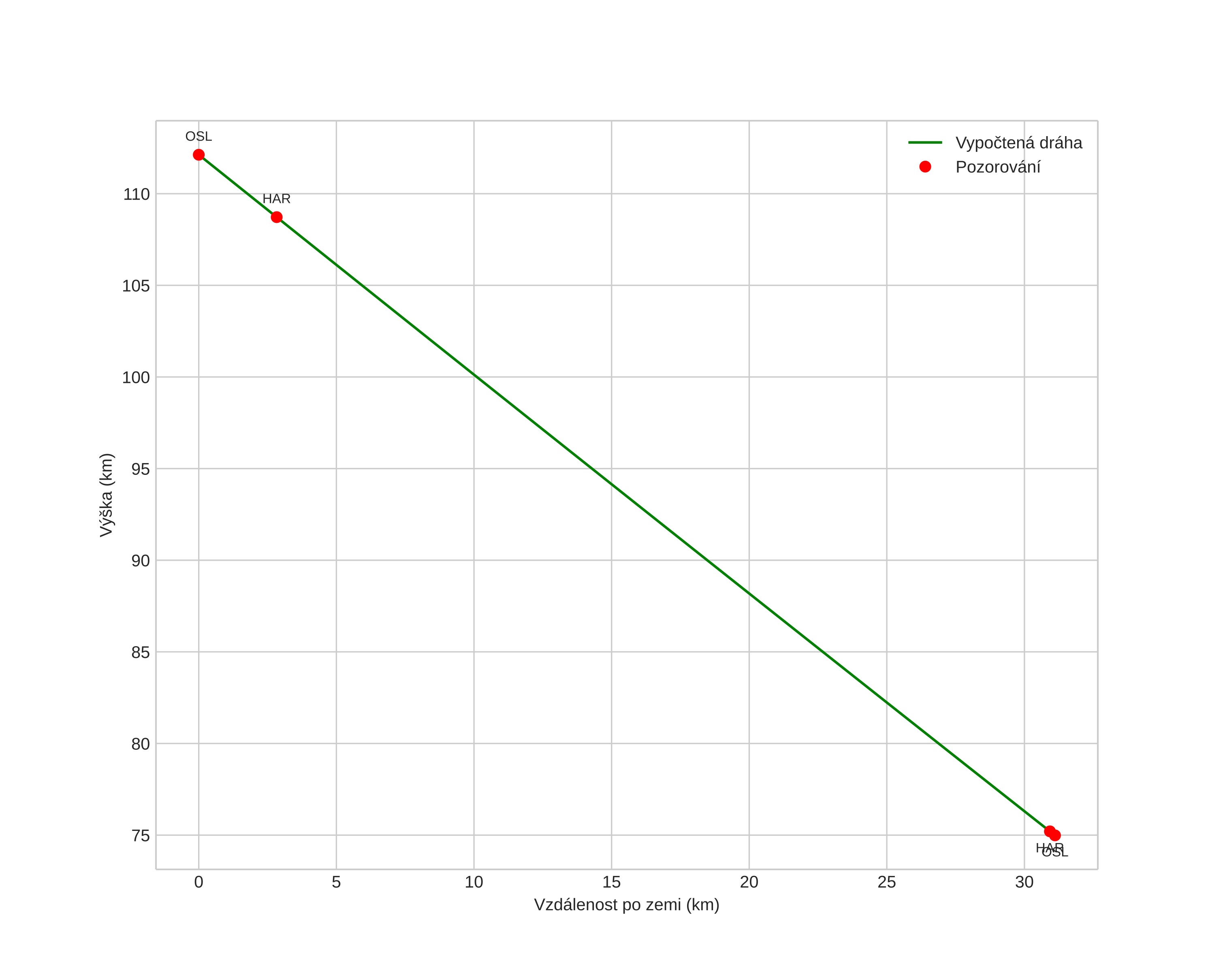
height profile
Atmosférická dráha meteoru:
Počáteční výška: 114,7 km
Konečná výška: 75,7 km
Počáteční poloha: 59,909N 10,531E
Konečná poloha: 60,023N 9,977E
Směr: 292,7°
Sklon: 49,4°
VstupnĂ­ rychlost: 73,0 km/s
Rektascenze radiantu: 03:25 (51,5°)
Deklinace radiantu: 31,8°
MeteorickĂ˝ roj: sporadickĂ˝
Elementy dráhy meteoroidu:
Vzdálenost v periheliu: 0,878 AU
Excentricita: 1,281
Sklon dráhy: 157,8°
Délka vzestupného uzlu: 161,0°
Argument perihelia: 219,7°
Střední anomálie: -4,3°
Epocha: 2019 SEP 04 00:53:48
orbit plot

NeinteraktivnĂ­ graf | InteraktivnĂ­ graf

position vs time
speed and acceleration