🇳🇴 🇬🇧 🇩🇪 🇨🇿 🇫🇮

Meteor Vikersundin yllä 2019-09-04 00:53:48 UTC

KML-tiedosto  |  Interaktiivinen kartta

Kartta näyttää meteorin suuntahavainnot. Vaaleammat viivat näyttävät suunnat havaintoasemilta meteorin ilmestyessä, ja tummemmat viivat näyttävät, missä se viimeksi nähtiin. Sininen nuoli näyttää meteorin näkyvän lennon.

static map
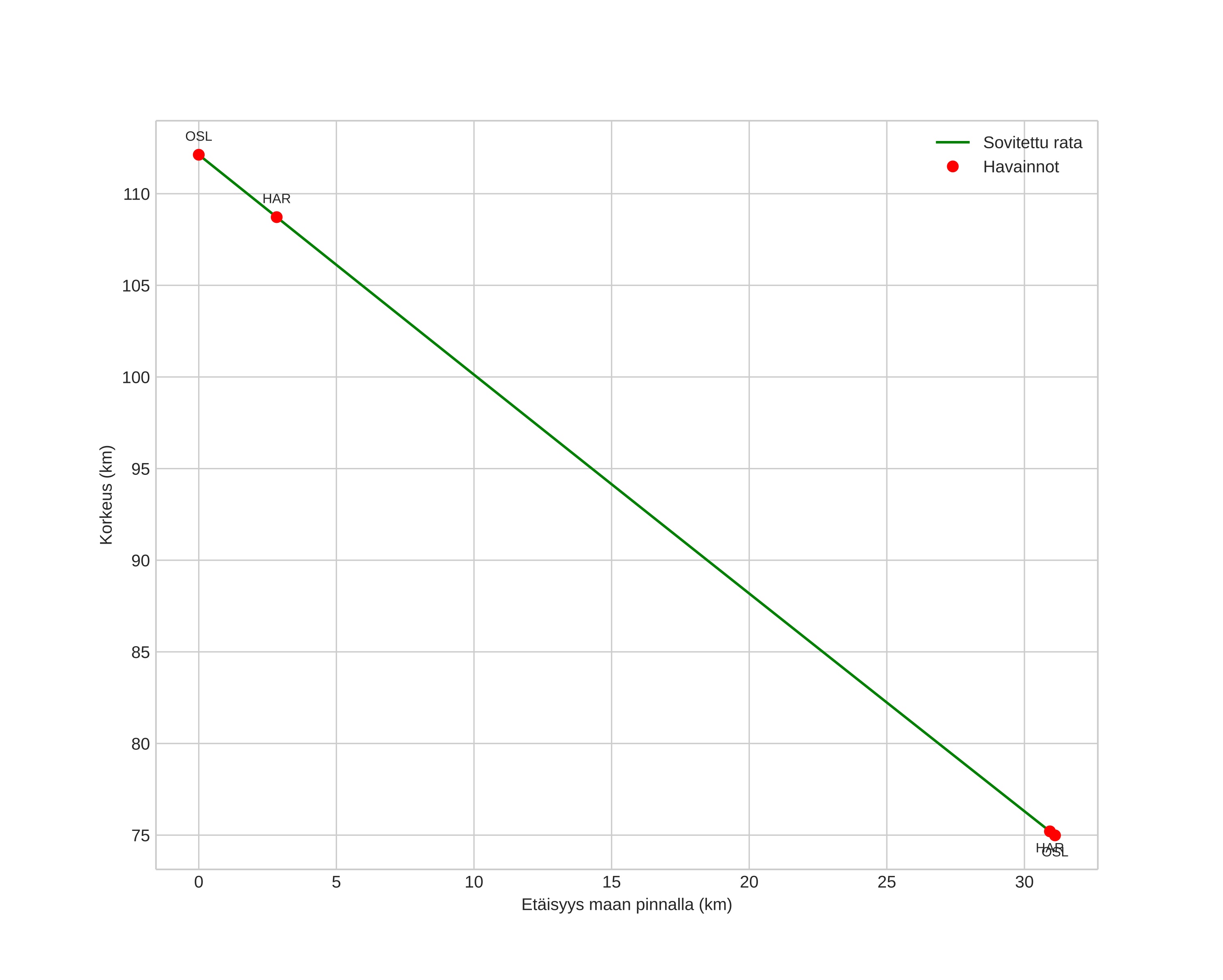
height profile
Meteorin ilmakehärata:
Alkukorkeus: 114,7 km
Loppukorkeus: 75,7 km
Alkupiste: 59,909N 10,531E
Loppupiste: 60,023N 9,977E
Suunta: 292,7°
Kallistuskulma: 49,4°
Tulonopeus: 73,0 km/s
Radiantin R,A,: 03:25 (51,5°)
Radiantin Dekl,: 31,8°
Meteoriparvi: Sporadinen
Meteoroidin rataelementit:
Perihelietäisyys: 0,878 AU
Eksentrisyys: 1,281
Inklinaatio: 157,8°
Nousevan solmun pituus: 161,0°
Perihelin argumentti: 219,7°
Keskianomalia: -4,3°
Epookki: 2019 SEP 04 00:53:48
orbit plot

Ei-interaktiivinen kuvaaja | Interaktiivinen kuvaaja

position vs time
speed and acceleration