🇳🇴 🇬🇧 🇩🇪 🇨🇿 🇫🇮

Meteor über Vikersund 2019-09-04 00:53:48 UTC

KML-Datei  |  Interaktive Karte

Die Karte zeigt die Peilungen für den Meteor. Die helleren Linien zeigen die Richtungen von den Beobachtungsorten beim Erscheinen des Meteors, und die dunkleren Linien, wo er zuletzt gesehen wurde. Der blaue Pfeil zeigt die sichtbare Bahn des Meteors.

static map
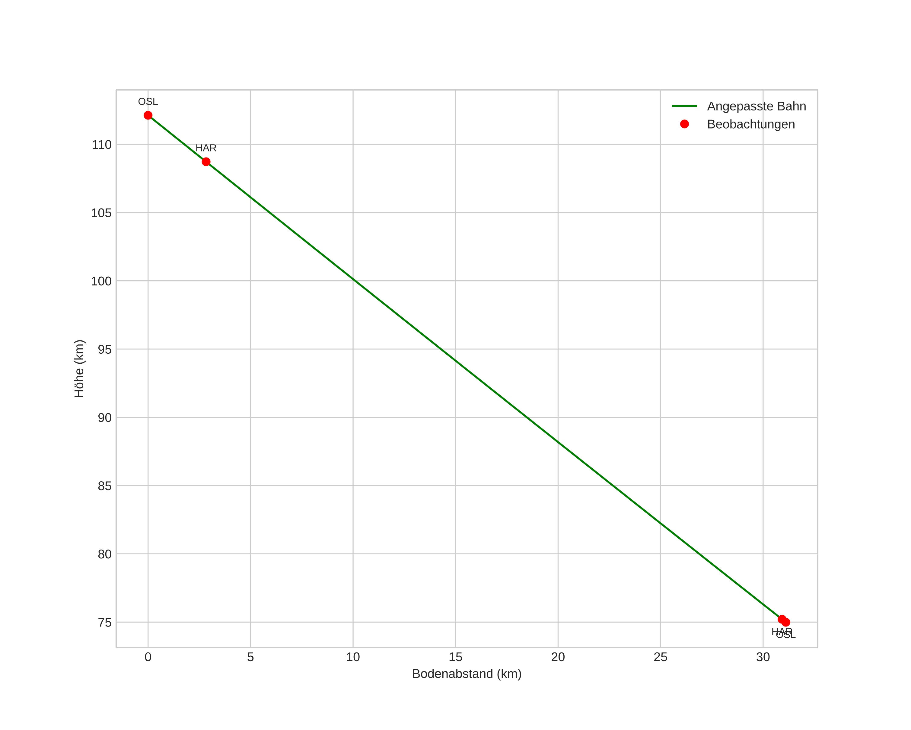
height profile
Atmosphärische Bahn des Meteors:
Anfangshöhe: 114,7 km
Endhöhe: 75,7 km
Startposition: 59,909N 10,531E
Endposition: 60,023N 9,977E
Richtung: 292,7°
Neigungswinkel: 49,4°
Eintrittsgeschwindigkeit: 73,0 km/s
Rektaszension des Radianten: 03:25 (51,5°)
Deklination des Radianten: 31,8°
Meteorstrom: sporadisch
Bahnelemente des Meteoroiden:
Periheldistanz: 0,878 AU
Exzentrizität: 1,281
Inklination: 157,8°
Länge des aufsteigenden Knotens: 161,0°
Argument des Perihels: 219,7°
Mittlere Anomalie: -4,3°
Epoche: 2019 SEP 04 00:53:48
orbit plot

Nicht-interaktives Diagramm | Interaktives Diagramm

position vs time
speed and acceleration