🇳🇴 🇬🇧 🇩🇪 🇨🇿 🇫🇮

Meteor, poloha: Arjeplog 2019-09-23 00:14:41 UTC

Soubor KML  |  InteraktivnĂ­ mapa

Mapa zobrazuje dráhy meteoru. Světlejší čáry ukazují směry od pozorovacích stanic při objevení se meteoru a tmavší čáry, kde byl naposledy viděn. Modrá šipka značí viditelnou dráhu meteoru.

static map
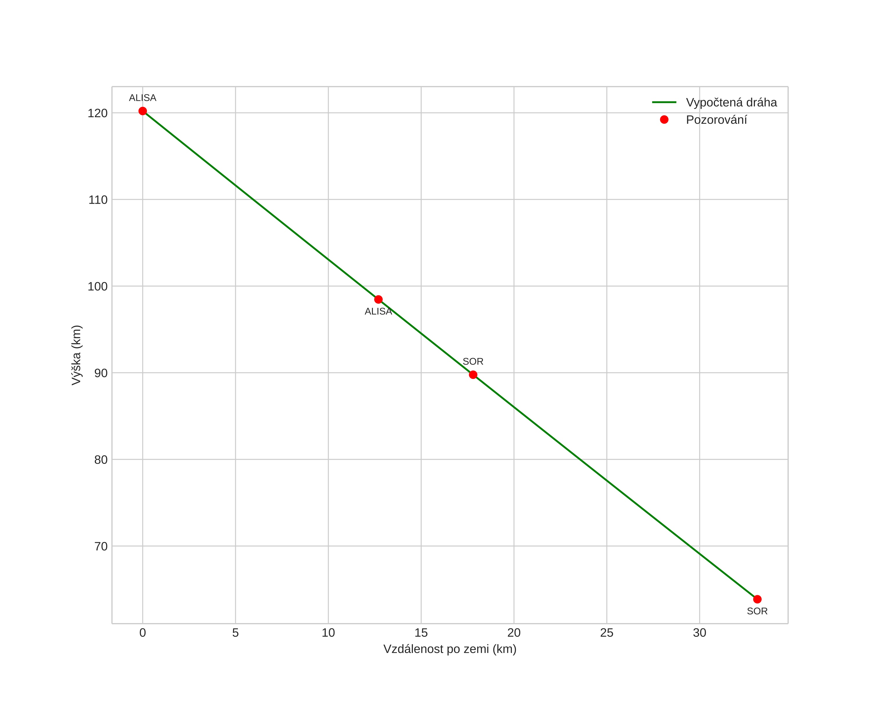
height profile
Atmosférická dráha meteoru:
Počáteční výška: 121,5 km
Konečná výška: 65,6 km
Počáteční poloha: 67,100N 17,025E
Konečná poloha: 66,826N 17,043E
Směr: 178,5°
Sklon: 61,4°
VstupnĂ­ rychlost: 42,6 km/s
Rektascenze radiantu: 14:07 (211,8°)
Deklinace radiantu: 84,0°
MeteorickĂ˝ roj: sporadickĂ˝
Elementy dráhy meteoroidu:
Vzdálenost v periheliu: 0,997 AU
Excentricita: 0,958
Sklon dráhy: 68,0°
Délka vzestupného uzlu: 179,4°
Argument perihelia: 170,6°
Střední anomálie: 0,1°
Epocha: 2019 SEP 23 00:14:41
orbit plot

NeinteraktivnĂ­ graf | InteraktivnĂ­ graf

position vs time
speed and acceleration