🇳🇴 🇬🇧 🇩🇪 🇨🇿 🇫🇮

Meteor über Arjeplog 2019-09-23 00:14:41 UTC

KML-Datei  |  Interaktive Karte

Die Karte zeigt die Peilungen für den Meteor. Die helleren Linien zeigen die Richtungen von den Beobachtungsorten beim Erscheinen des Meteors, und die dunkleren Linien, wo er zuletzt gesehen wurde. Der blaue Pfeil zeigt die sichtbare Bahn des Meteors.

static map
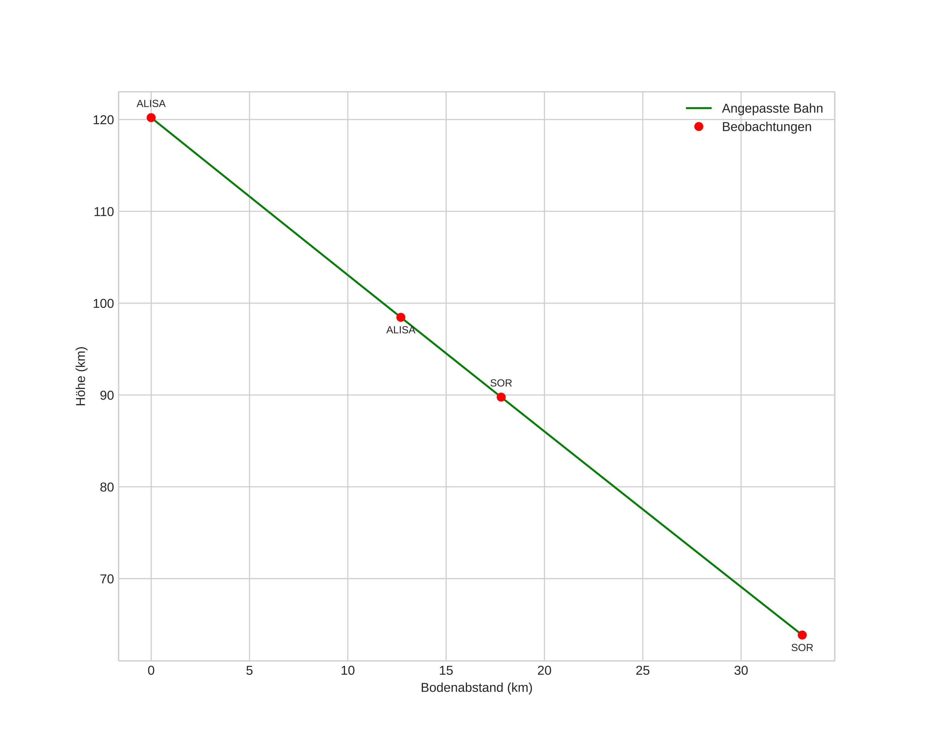
height profile
Atmosphärische Bahn des Meteors:
Anfangshöhe: 121,5 km
Endhöhe: 65,6 km
Startposition: 67,100N 17,025E
Endposition: 66,826N 17,043E
Richtung: 178,5°
Neigungswinkel: 61,4°
Eintrittsgeschwindigkeit: 42,6 km/s
Rektaszension des Radianten: 14:07 (211,8°)
Deklination des Radianten: 84,0°
Meteorstrom: sporadisch
Bahnelemente des Meteoroiden:
Periheldistanz: 0,997 AU
Exzentrizität: 0,958
Inklination: 68,0°
Länge des aufsteigenden Knotens: 179,4°
Argument des Perihels: 170,6°
Mittlere Anomalie: 0,1°
Epoche: 2019 SEP 23 00:14:41
orbit plot

Nicht-interaktives Diagramm | Interaktives Diagramm

position vs time
speed and acceleration