🇳🇴 🇬🇧 🇩🇪 🇨🇿 🇫🇮

Meteor Arjeplogin yllä 2019-09-23 00:14:41 UTC

KML-tiedosto  |  Interaktiivinen kartta

Kartta näyttää meteorin suuntahavainnot. Vaaleammat viivat näyttävät suunnat havaintoasemilta meteorin ilmestyessä, ja tummemmat viivat näyttävät, missä se viimeksi nähtiin. Sininen nuoli näyttää meteorin näkyvän lennon.

static map
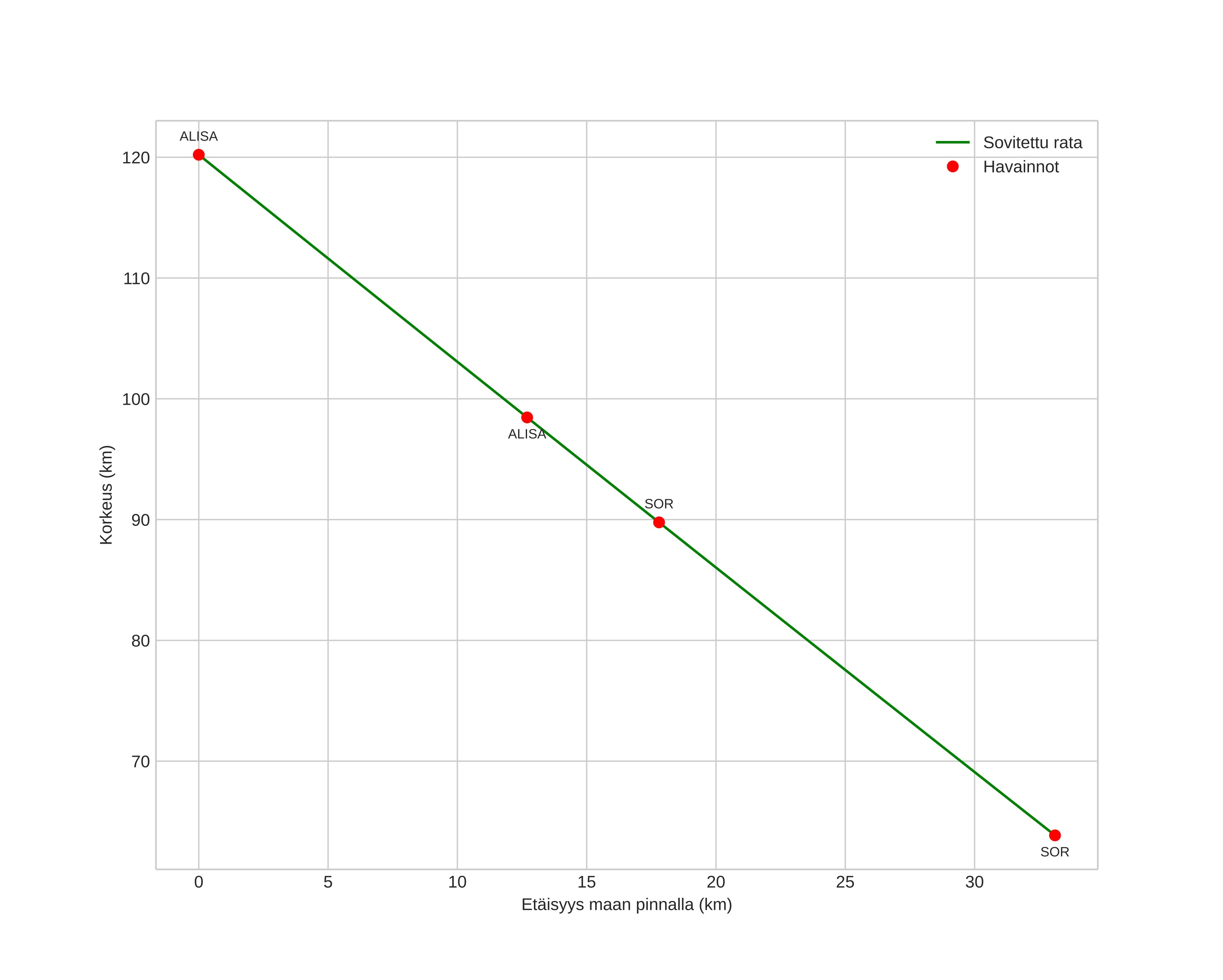
height profile
Meteorin ilmakehärata:
Alkukorkeus: 121,5 km
Loppukorkeus: 65,6 km
Alkupiste: 67,100N 17,025E
Loppupiste: 66,826N 17,043E
Suunta: 178,5°
Kallistuskulma: 61,4°
Tulonopeus: 42,6 km/s
Radiantin R,A,: 14:07 (211,8°)
Radiantin Dekl,: 84,0°
Meteoriparvi: Sporadinen
Meteoroidin rataelementit:
Perihelietäisyys: 0,997 AU
Eksentrisyys: 0,958
Inklinaatio: 68,0°
Nousevan solmun pituus: 179,4°
Perihelin argumentti: 170,6°
Keskianomalia: 0,1°
Epookki: 2019 SEP 23 00:14:41
orbit plot

Ei-interaktiivinen kuvaaja | Interaktiivinen kuvaaja

position vs time
speed and acceleration