🇳🇴 🇬🇧 🇩🇪 🇨🇿 🇫🇮

Meteor, poloha: Hvittingfoss 2019-10-04 21:30:48 UTC

Soubor KML  |  InteraktivnĂ­ mapa

Mapa zobrazuje dráhy meteoru. Světlejší čáry ukazují směry od pozorovacích stanic při objevení se meteoru a tmavší čáry, kde byl naposledy viděn. Modrá šipka značí viditelnou dráhu meteoru.

static map
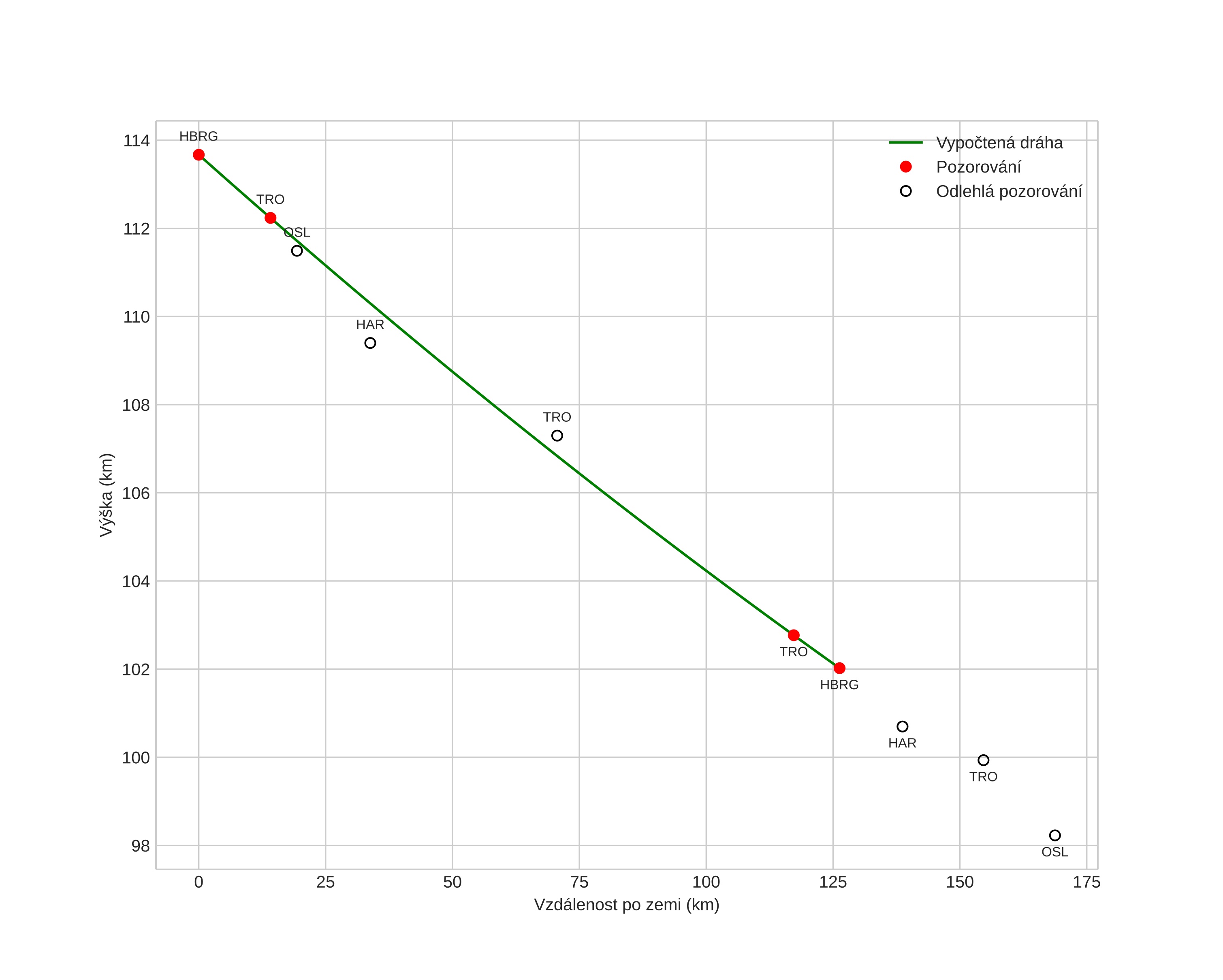
height profile
Atmosférická dráha meteoru:
Počáteční výška: 112,2 km
Konečná výška: 100,2 km
Počáteční poloha: 60,338N 12,293E
Konečná poloha: 59,503N 9,893E
Směr: 236,3°
Sklon: 4,2°
VstupnĂ­ rychlost: 71,8 km/s
Rektascenze radiantu: 07:06 (106,5°)
Deklinace radiantu: 19,3°
MeteorickĂ˝ roj: sporadickĂ˝
Elementy dráhy meteoroidu:
Vzdálenost v periheliu: 0,985 AU
Excentricita: 0,911
Sklon dráhy: 174,3°
Délka vzestupného uzlu: 11,1°
Argument perihelia: 345,2°
Střední anomálie: 0,3°
Epocha: 2019 OCT 04 21:30:48
orbit plot

NeinteraktivnĂ­ graf | InteraktivnĂ­ graf

position vs time
speed and acceleration