🇳🇴 🇬🇧 🇩🇪 🇨🇿 🇫🇮

Meteor über Hvittingfoss 2019-10-04 21:30:48 UTC

KML-Datei  |  Interaktive Karte

Die Karte zeigt die Peilungen für den Meteor. Die helleren Linien zeigen die Richtungen von den Beobachtungsorten beim Erscheinen des Meteors, und die dunkleren Linien, wo er zuletzt gesehen wurde. Der blaue Pfeil zeigt die sichtbare Bahn des Meteors.

static map
height profile
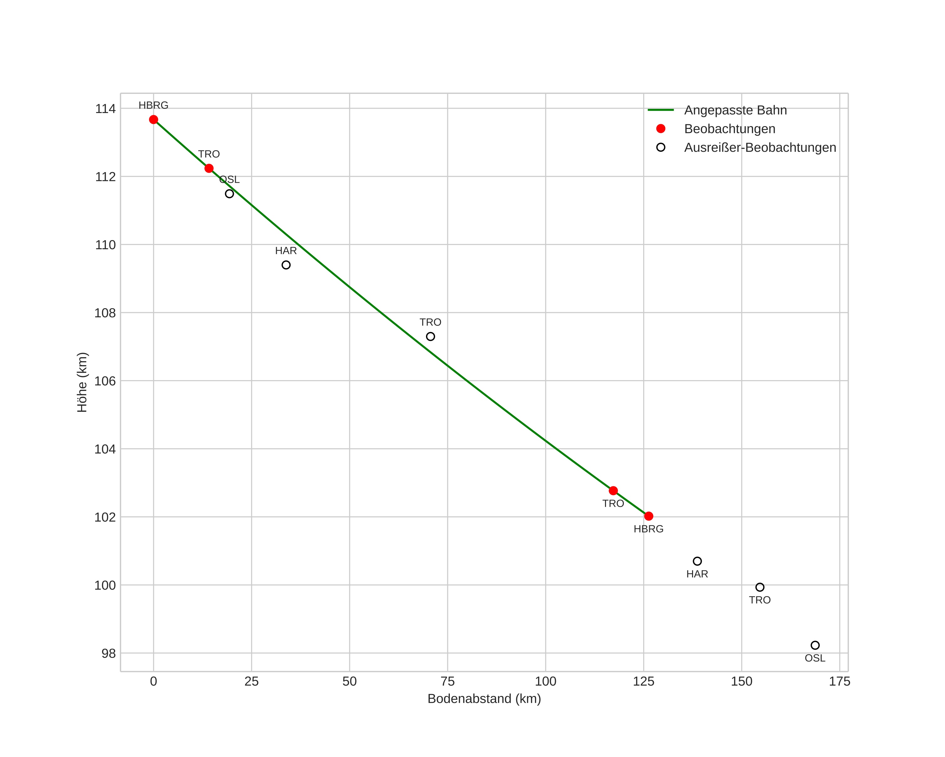
Atmosphärische Bahn des Meteors:
Anfangshöhe: 112,2 km
Endhöhe: 100,2 km
Startposition: 60,338N 12,293E
Endposition: 59,503N 9,893E
Richtung: 236,3°
Neigungswinkel: 4,2°
Eintrittsgeschwindigkeit: 71,8 km/s
Rektaszension des Radianten: 07:06 (106,5°)
Deklination des Radianten: 19,3°
Meteorstrom: sporadisch
Bahnelemente des Meteoroiden:
Periheldistanz: 0,985 AU
Exzentrizität: 0,911
Inklination: 174,3°
Länge des aufsteigenden Knotens: 11,1°
Argument des Perihels: 345,2°
Mittlere Anomalie: 0,3°
Epoche: 2019 OCT 04 21:30:48
orbit plot

Nicht-interaktives Diagramm | Interaktives Diagramm

position vs time
speed and acceleration