🇳🇴 🇬🇧 🇩🇪 🇨🇿 🇫🇮

Meteor Hvittingfossin yllä 2019-10-04 21:30:48 UTC

KML-tiedosto  |  Interaktiivinen kartta

Kartta näyttää meteorin suuntahavainnot. Vaaleammat viivat näyttävät suunnat havaintoasemilta meteorin ilmestyessä, ja tummemmat viivat näyttävät, missä se viimeksi nähtiin. Sininen nuoli näyttää meteorin näkyvän lennon.

static map
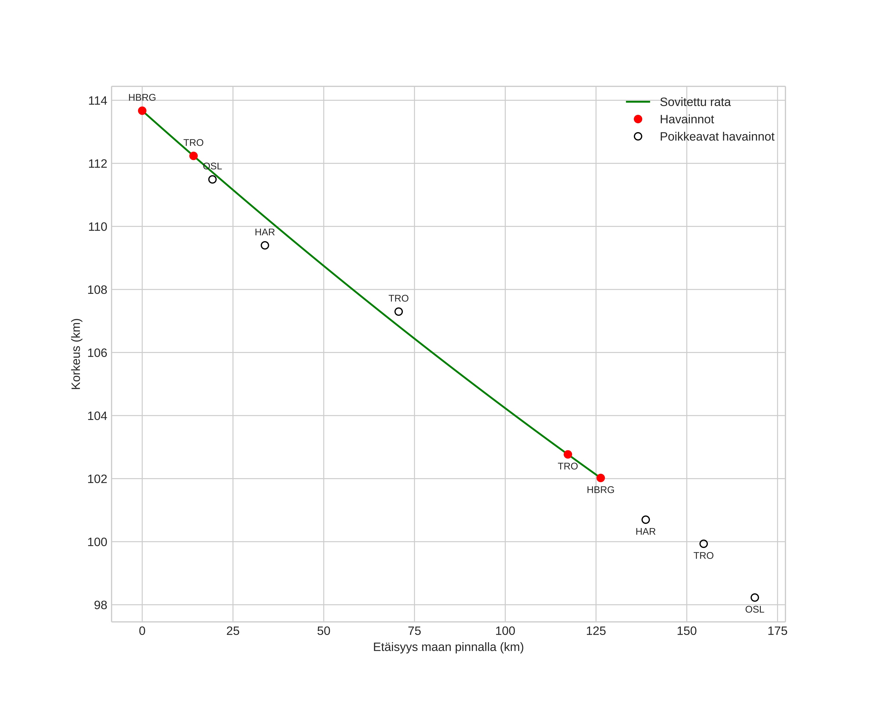
height profile
Meteorin ilmakehärata:
Alkukorkeus: 112,2 km
Loppukorkeus: 100,2 km
Alkupiste: 60,338N 12,293E
Loppupiste: 59,503N 9,893E
Suunta: 236,3°
Kallistuskulma: 4,2°
Tulonopeus: 71,8 km/s
Radiantin R,A,: 07:06 (106,5°)
Radiantin Dekl,: 19,3°
Meteoriparvi: Sporadinen
Meteoroidin rataelementit:
Perihelietäisyys: 0,985 AU
Eksentrisyys: 0,911
Inklinaatio: 174,3°
Nousevan solmun pituus: 11,1°
Perihelin argumentti: 345,2°
Keskianomalia: 0,3°
Epookki: 2019 OCT 04 21:30:48
orbit plot

Ei-interaktiivinen kuvaaja | Interaktiivinen kuvaaja

position vs time
speed and acceleration