🇳🇴 🇬🇧 🇩🇪 🇨🇿 🇫🇮

Meteor, poloha: Jokkmokk 2019-11-01 03:01:12 UTC

Soubor KML

Mapa zobrazuje dráhy meteoru. Světlejší čáry ukazují směry od pozorovacích stanic při objevení se meteoru a tmavší čáry, kde byl naposledy viděn. Modrá šipka značí viditelnou dráhu meteoru.

static map
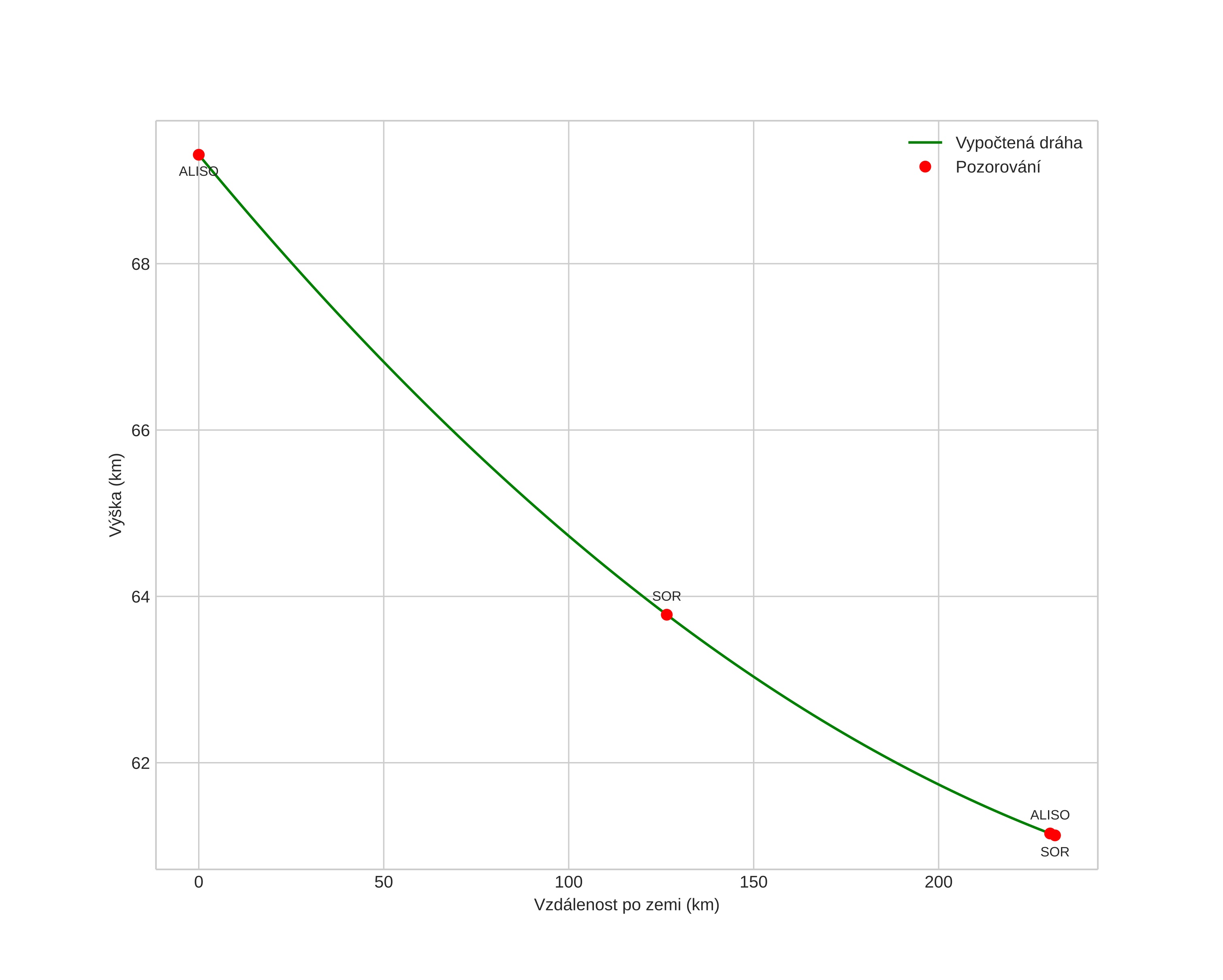
height profile
Atmosférická dráha meteoru:
Počáteční výška: 69,3 km
Konečná výška: 61,1 km
Počáteční poloha: 68,981N 19,103E
Konečná poloha: 66,919N 19,872E
Směr: 171,7°
Sklon: 2,0°
Vstupní rychlost: 55,2 km/s
Rektascenze radiantu: 19:33 (293,4°)
Deklinace radiantu: 21,6°
Meteorický roj: sporadický
Elementy dráhy meteoroidu:
Vzdálenost v periheliu: 0,990 AU
Excentricita: 5,908
Sklon dráhy: 27,8°
Délka vzestupného uzlu: 218,1°
Argument perihelia: 175,7°
Střední anomálie: 18,0°
Epocha: 2019 NOV 01 03:01:12
orbit plot

Neinteraktivní graf

position vs time
speed and acceleration