🇳🇴 🇬🇧 🇩🇪 🇨🇿 🇫🇮

Meteor over Jokkmokk 2019-11-01 03:01:12 UTC

KML file

The map shows the bearings for the meteor. The lighter lines show the directions from the observation sites at the meteor's appearance, and the darker lines show where it was last seen. The blue arrow indicates the visible path of the meteor.

static map
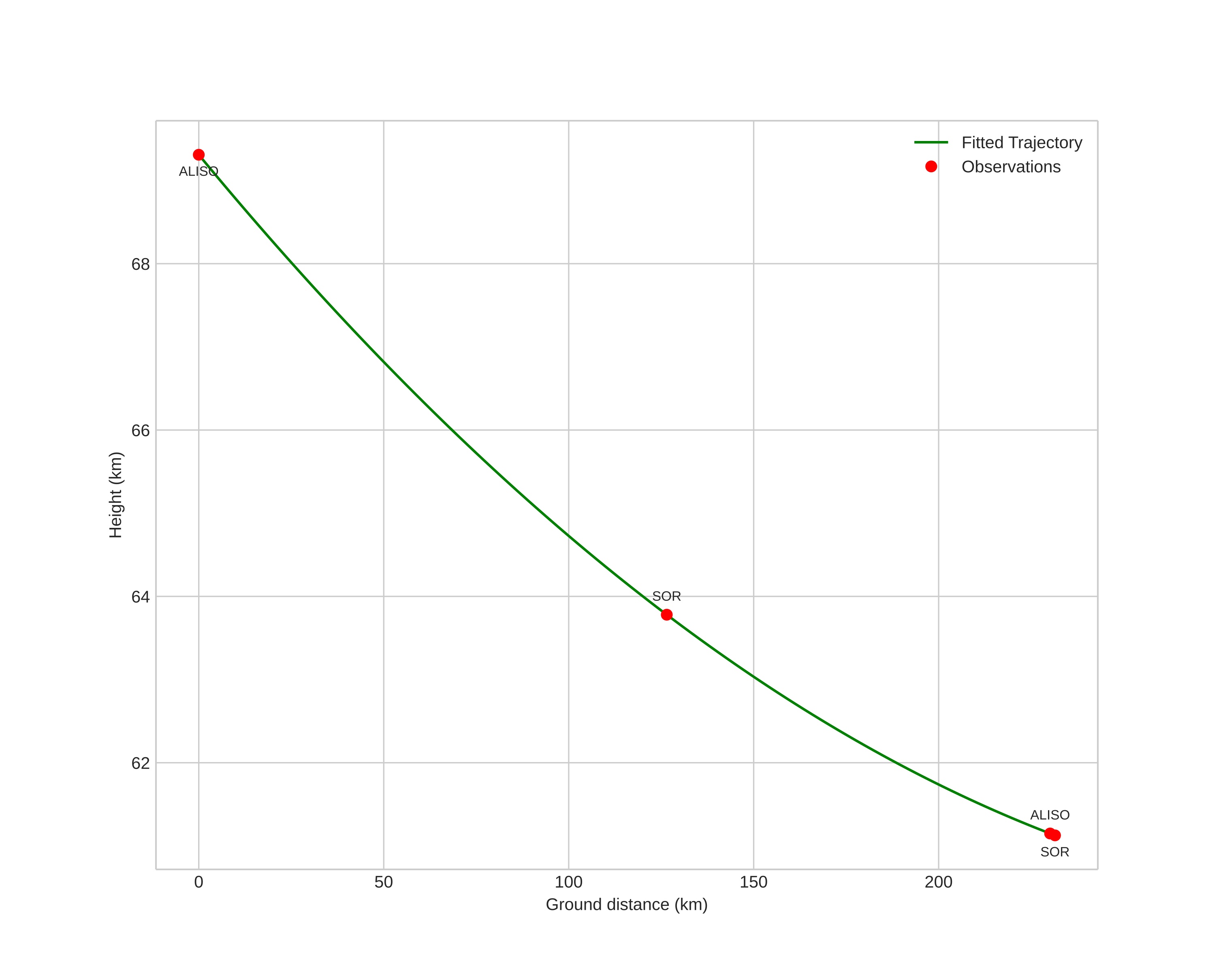
height profile
Meteor's Atmospheric Trajectory:
Start height: 69.3 km
End height: 61.1 km
Start position: 68.981N 19.103E
End position: 66.919N 19.872E
Direction: 171.7°
Inclination angle: 2.0°
Entry speed: 55.2 km/s
Radiant R.A.: 19:33 (293.4°)
Radiant Dec.: 21.6°
Meteor Shower: sporadic
Meteoroid's Orbital Elements:
Perihelion distance: 0.990 AU
Eccentricity: 5.908
Inclination: 27.8°
Long. of Asc. Node: 218.1°
Argument of Perihelion: 175.7°
Mean Anomaly: 18.0°
Epoch: 2019 NOV 01 03:01:12
orbit plot

Non-interactive plot

position vs time
speed and acceleration

Sorreisa (SOR) cam1


gnomonic
Videos
• Gnomonic
• Gnomonic with coordinates
• Original
• Original with coordinates
Images
• Gnomonic
• Gnomonic with coordinates
• Uncorrected gnomonic with coordinates
• Gnomonic with labels
• Uncorrected gnomonic with labels
• Original
• Original with coordinates
• Original with mask
Text Files
• Detection
• Observation
• Coordinates
• Error Messages
Brightness