🇳🇴 🇬🇧 🇩🇪 🇨🇿 🇫🇮

Meteor Jokkmokkin yllä 2019-11-01 03:01:12 UTC

KML-tiedosto

Kartta näyttää meteorin suuntahavainnot. Vaaleammat viivat näyttävät suunnat havaintoasemilta meteorin ilmestyessä, ja tummemmat viivat näyttävät, missä se viimeksi nähtiin. Sininen nuoli näyttää meteorin näkyvän lennon.

static map
height profile
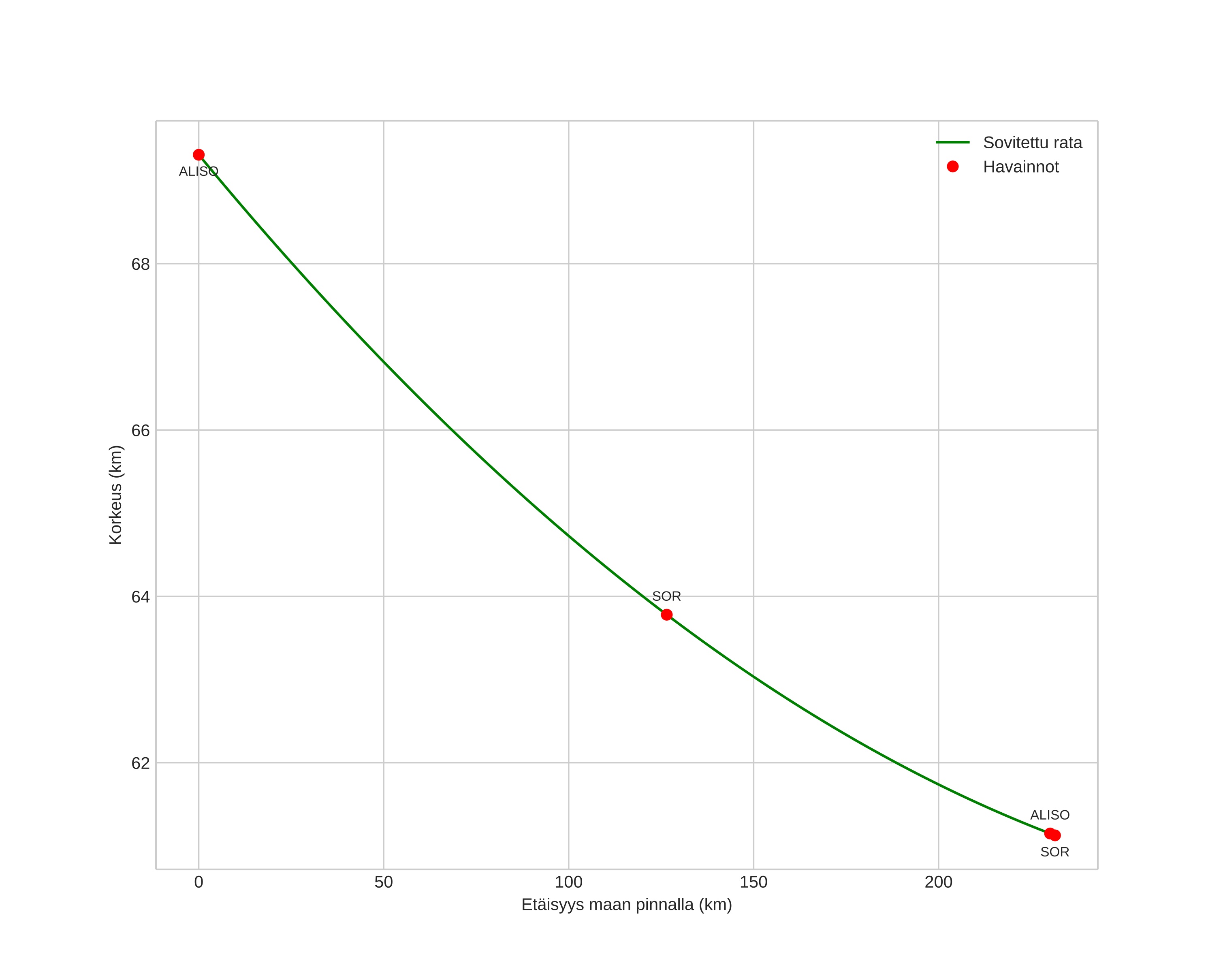
Meteorin ilmakehärata:
Alkukorkeus: 69,3 km
Loppukorkeus: 61,1 km
Alkupiste: 68,981N 19,103E
Loppupiste: 66,919N 19,872E
Suunta: 171,7°
Kallistuskulma: 2,0°
Tulonopeus: 55,2 km/s
Radiantin R,A,: 19:33 (293,4°)
Radiantin Dekl,: 21,6°
Meteoriparvi: Sporadinen
Meteoroidin rataelementit:
Perihelietäisyys: 0,990 AU
Eksentrisyys: 5,908
Inklinaatio: 27,8°
Nousevan solmun pituus: 218,1°
Perihelin argumentti: 175,7°
Keskianomalia: 18,0°
Epookki: 2019 NOV 01 03:01:12
orbit plot

Ei-interaktiivinen kuvaaja

position vs time
speed and acceleration