🇳🇴 🇬🇧 🇩🇪 🇨🇿 🇫🇮

Meteor, poloha: Kautokeino 2019-11-10 02:49:51 UTC

Soubor KML  |  Interaktivní mapa

Mapa zobrazuje dráhy meteoru. Světlejší čáry ukazují směry od pozorovacích stanic při objevení se meteoru a tmavší čáry, kde byl naposledy viděn. Modrá šipka značí viditelnou dráhu meteoru.

static map
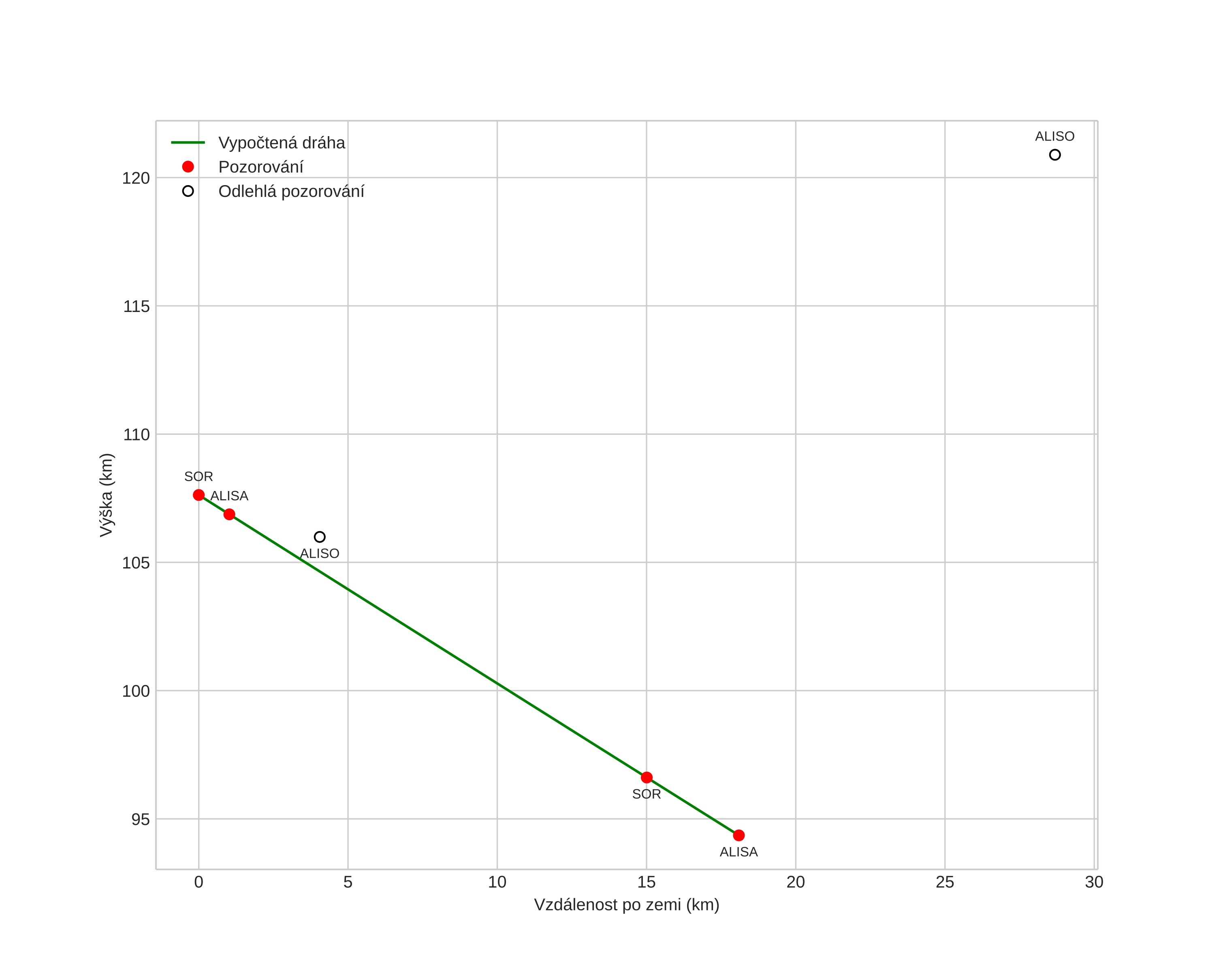
height profile
Atmosférická dráha meteoru:
Počáteční výška: 104,5 km
Konečná výška: 83,9 km
Počáteční poloha: 68,013N 22,295E
Konečná poloha: 68,258N 22,337E
Směr: 3,6°
Sklon: 37,1°
Vstupní rychlost: 67,3 km/s
Rektascenze radiantu: 07:20 (110,2°)
Deklinace radiantu: 14,7°
Meteorický roj: sporadický
Elementy dráhy meteoroidu:
Vzdálenost v periheliu: 0,481 AU
Excentricita: 1,017
Sklon dráhy: 163,3°
Délka vzestupného uzlu: 47,1°
Argument perihelia: 91,1°
Střední anomálie: -0,2°
Epocha: 2019 NOV 10 02:49:51
orbit plot

Neinteraktivní graf | Interaktivní graf

position vs time
speed and acceleration