🇳🇴 🇬🇧 🇩🇪 🇨🇿 🇫🇮

Meteor über Kautokeino 2019-11-10 02:49:51 UTC

KML-Datei  |  Interaktive Karte

Die Karte zeigt die Peilungen für den Meteor. Die helleren Linien zeigen die Richtungen von den Beobachtungsorten beim Erscheinen des Meteors, und die dunkleren Linien, wo er zuletzt gesehen wurde. Der blaue Pfeil zeigt die sichtbare Bahn des Meteors.

static map
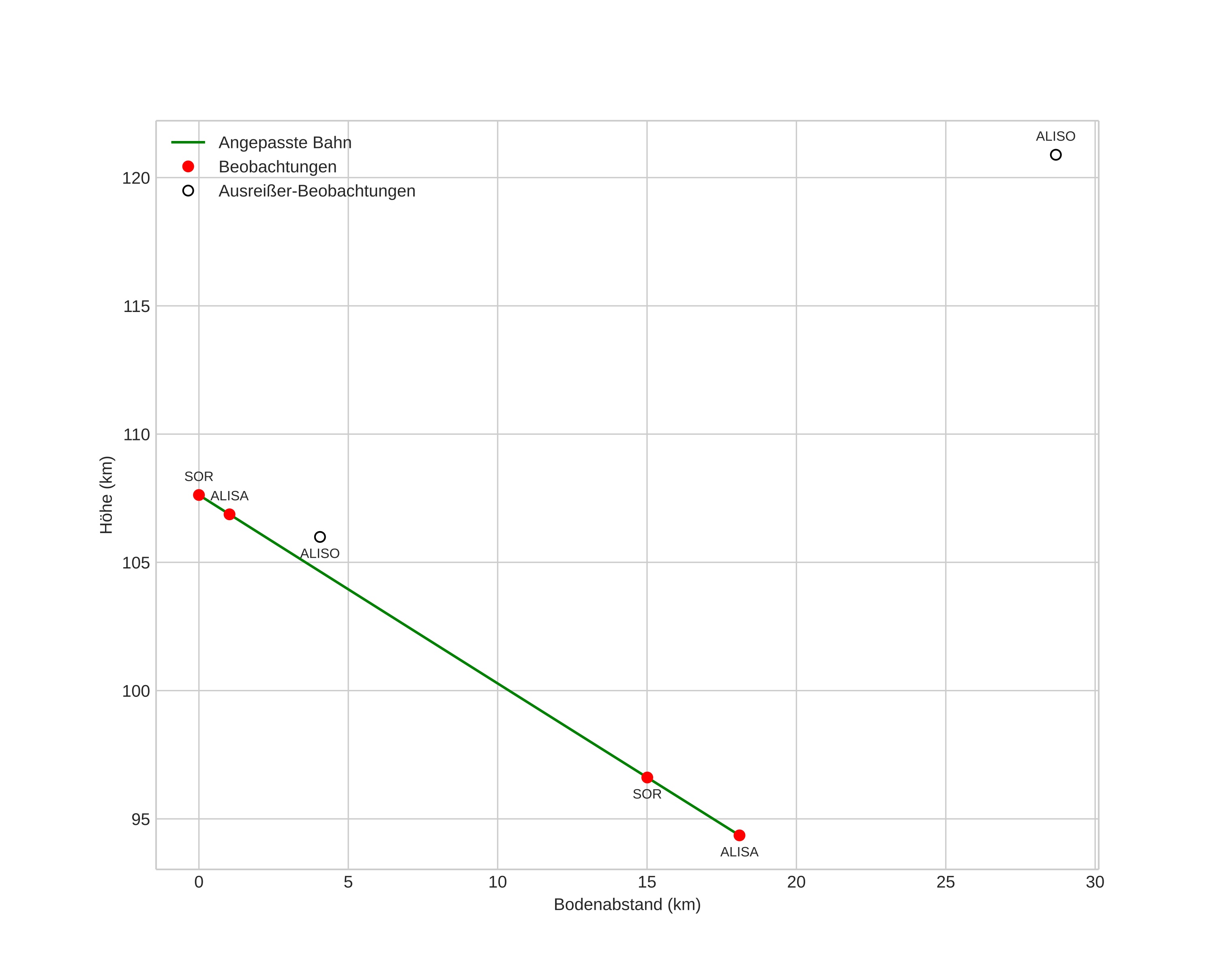
height profile
Atmosphärische Bahn des Meteors:
Anfangshöhe: 104,5 km
Endhöhe: 83,9 km
Startposition: 68,013N 22,295E
Endposition: 68,258N 22,337E
Richtung: 3,6°
Neigungswinkel: 37,1°
Eintrittsgeschwindigkeit: 67,3 km/s
Rektaszension des Radianten: 07:20 (110,2°)
Deklination des Radianten: 14,7°
Meteorstrom: sporadisch
Bahnelemente des Meteoroiden:
Periheldistanz: 0,481 AU
Exzentrizität: 1,017
Inklination: 163,3°
Länge des aufsteigenden Knotens: 47,1°
Argument des Perihels: 91,1°
Mittlere Anomalie: -0,2°
Epoche: 2019 NOV 10 02:49:51
orbit plot

Nicht-interaktives Diagramm | Interaktives Diagramm

position vs time
speed and acceleration

Sorreisa (SOR) cam2


gnomonic
Videos
• Gnomonisch
• Gnomonisch mit Koordinaten
• Original
• Original mit Koordinaten
Bilder
• Gnomonisch
• Gnomonisch mit Koordinaten
• Gnomonisch mit Beschriftungen
• Original
• Original mit Koordinaten
• Original mit Maske
Textdateien
• Erkennung
• Beobachtung
• Koordinaten
• Fehlermeldungen
• Protokoll
Helligkeit