🇳🇴 🇬🇧 🇩🇪 🇨🇿 🇫🇮

Meteor Kautokeinon yllä 2019-11-10 02:49:51 UTC

KML-tiedosto  |  Interaktiivinen kartta

Kartta näyttää meteorin suuntahavainnot. Vaaleammat viivat näyttävät suunnat havaintoasemilta meteorin ilmestyessä, ja tummemmat viivat näyttävät, missä se viimeksi nähtiin. Sininen nuoli näyttää meteorin näkyvän lennon.

static map
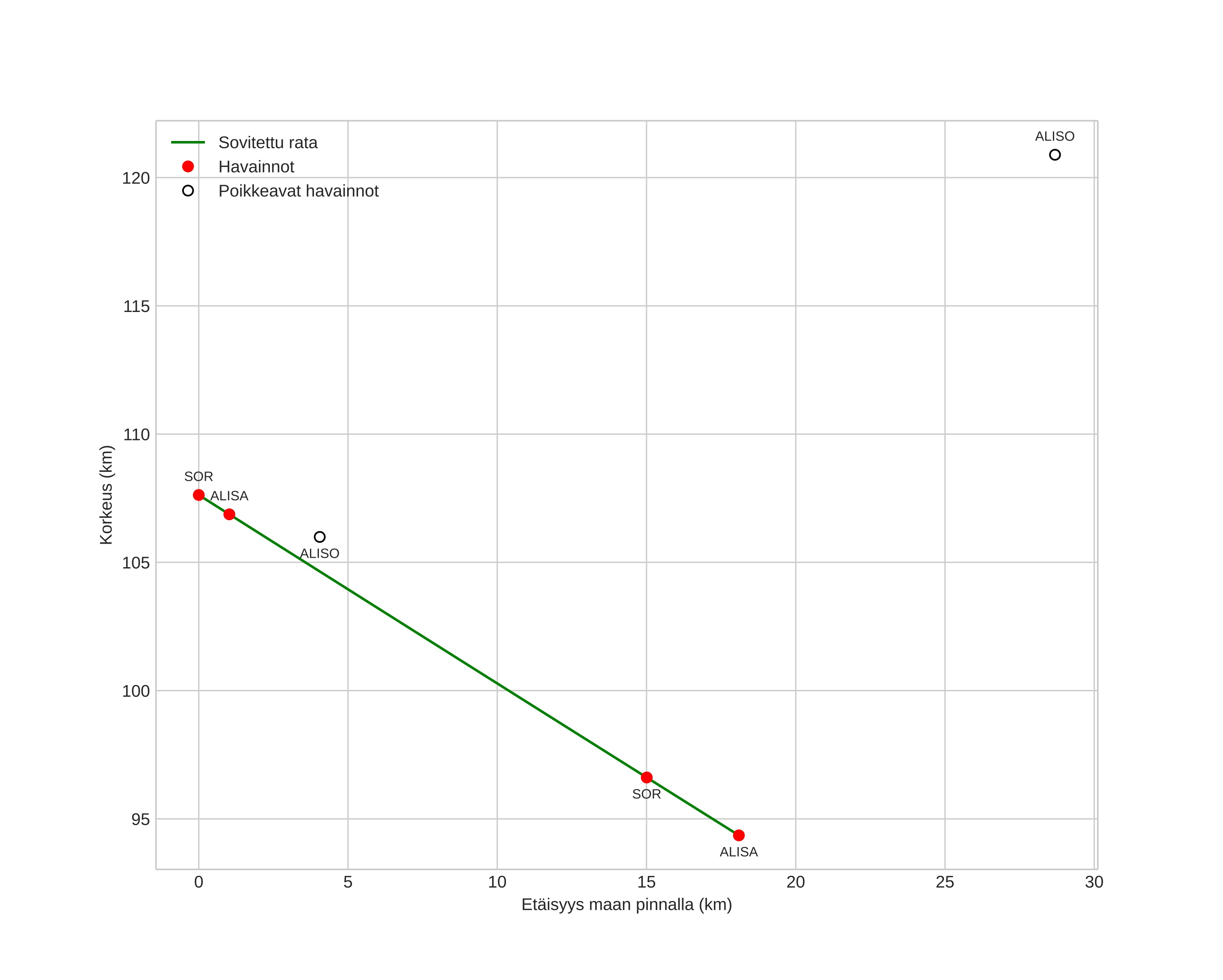
height profile
Meteorin ilmakehärata:
Alkukorkeus: 104,5 km
Loppukorkeus: 83,9 km
Alkupiste: 68,013N 22,295E
Loppupiste: 68,258N 22,337E
Suunta: 3,6°
Kallistuskulma: 37,1°
Tulonopeus: 67,3 km/s
Radiantin R,A,: 07:20 (110,2°)
Radiantin Dekl,: 14,7°
Meteoriparvi: Sporadinen
Meteoroidin rataelementit:
Perihelietäisyys: 0,481 AU
Eksentrisyys: 1,017
Inklinaatio: 163,3°
Nousevan solmun pituus: 47,1°
Perihelin argumentti: 91,1°
Keskianomalia: -0,2°
Epookki: 2019 NOV 10 02:49:51
orbit plot

Ei-interaktiivinen kuvaaja | Interaktiivinen kuvaaja

position vs time
speed and acceleration

Sorreisa (SOR) cam2


gnomonic
Videot:
• Gnomoninen
• Gnomoninen koordinaateilla
• Alkuperäinen
• Alkuperäinen koordinaateilla
Kuvat:
• Gnomoninen
• Gnomoninen koordinaateilla
• Gnomoninen merkinnöillä
• Alkuperäinen
• Alkuperäinen koordinaateilla
• Alkuperäinen maskilla
Tekstitiedostot:
• Havaintoraportti
• Observaatio
• Koordinaatit
• Virheilmoitukset
• Loki
Kirkkaus