🇳🇴 🇬🇧 🇩🇪 🇨🇿 🇫🇮

Meteor, poloha: Orsa 2019-11-18 02:31:26 UTC

Soubor KML  |  InteraktivnĂ­ mapa

Mapa zobrazuje dráhy meteoru. Světlejší čáry ukazují směry od pozorovacích stanic při objevení se meteoru a tmavší čáry, kde byl naposledy viděn. Modrá šipka značí viditelnou dráhu meteoru.

static map
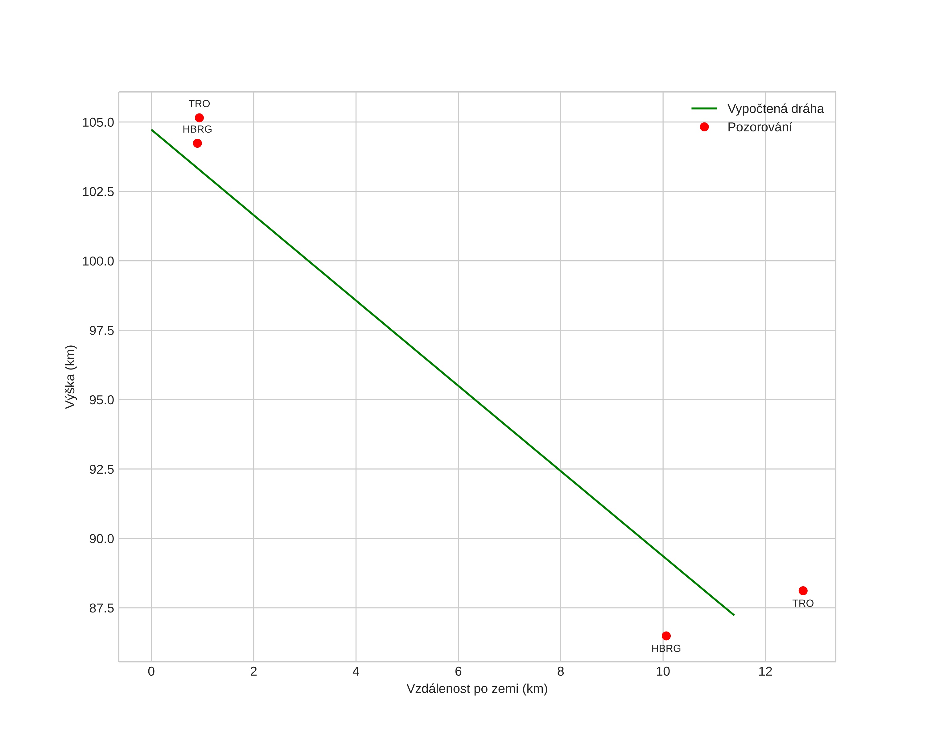
height profile
Atmosférická dráha meteoru:
Počáteční výška: 106,3 km
Konečná výška: 90,4 km
Počáteční poloha: 60,979N 14,944E
Konečná poloha: 61,002N 14,734E
Směr: 283,2°
Sklon: 53,7°
VstupnĂ­ rychlost: 50,4 km/s
Rektascenze radiantu: 10:31 (157,8°)
Deklinace radiantu: 39,5°
MeteorickĂ˝ roj: sporadickĂ˝
Elementy dráhy meteoroidu:
Vzdálenost v periheliu: 0,634 AU
Excentricita: 0,220
Sklon dráhy: 120,0°
Délka vzestupného uzlu: 235,2°
Argument perihelia: 350,0°
Střední anomálie: 195,2°
Epocha: 2019 NOV 18 02:31:26
orbit plot

NeinteraktivnĂ­ graf | InteraktivnĂ­ graf

position vs time
speed and acceleration