🇳🇴 🇬🇧 🇩🇪 🇨🇿 🇫🇮

Meteor Orsan yllä 2019-11-18 02:31:26 UTC

KML-tiedosto  |  Interaktiivinen kartta

Kartta näyttää meteorin suuntahavainnot. Vaaleammat viivat näyttävät suunnat havaintoasemilta meteorin ilmestyessä, ja tummemmat viivat näyttävät, missä se viimeksi nähtiin. Sininen nuoli näyttää meteorin näkyvän lennon.

static map
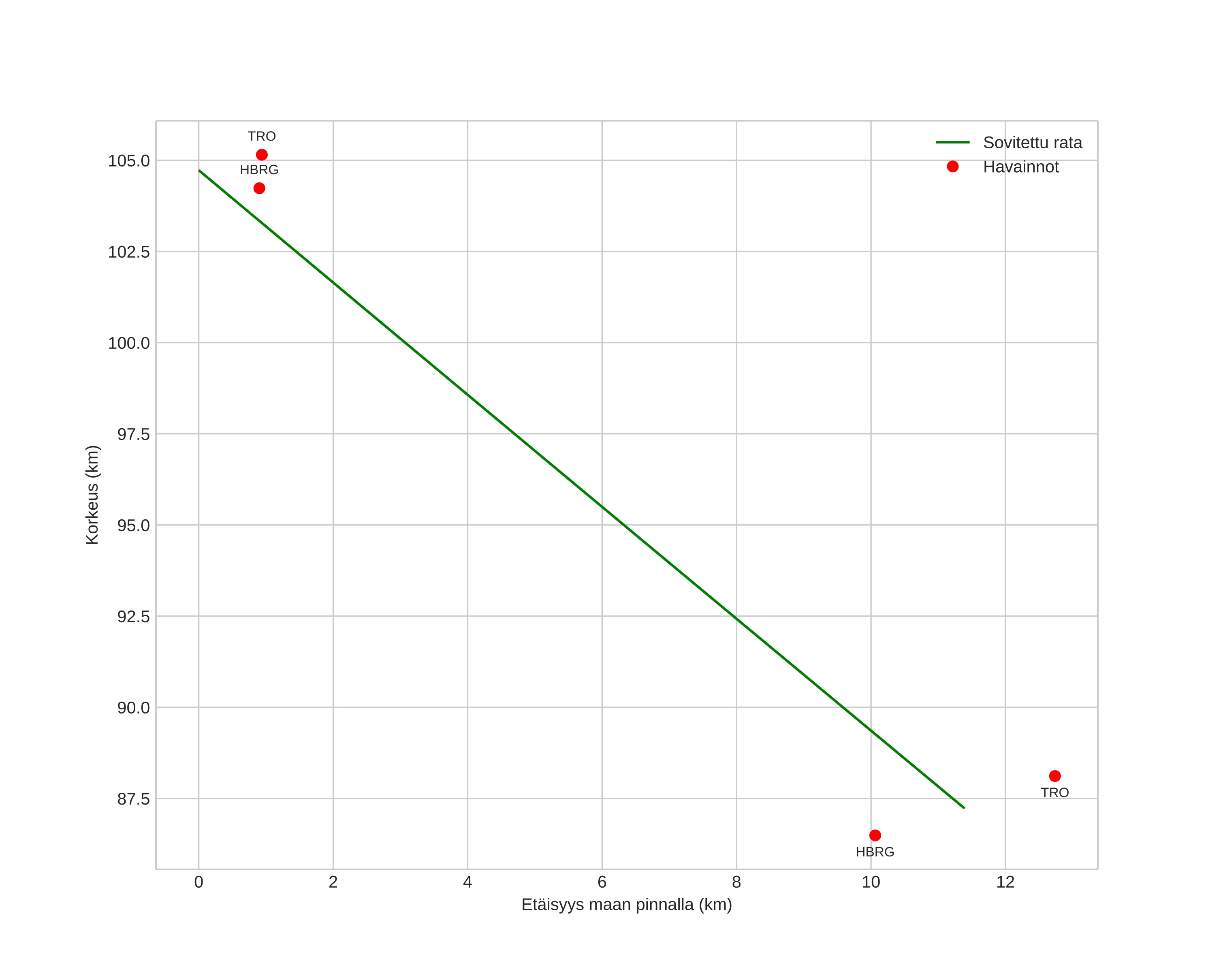
height profile
Meteorin ilmakehärata:
Alkukorkeus: 106,3 km
Loppukorkeus: 90,4 km
Alkupiste: 60,979N 14,944E
Loppupiste: 61,002N 14,734E
Suunta: 283,2°
Kallistuskulma: 53,7°
Tulonopeus: 50,4 km/s
Radiantin R,A,: 10:31 (157,8°)
Radiantin Dekl,: 39,5°
Meteoriparvi: Sporadinen
Meteoroidin rataelementit:
Perihelietäisyys: 0,634 AU
Eksentrisyys: 0,220
Inklinaatio: 120,0°
Nousevan solmun pituus: 235,2°
Perihelin argumentti: 350,0°
Keskianomalia: 195,2°
Epookki: 2019 NOV 18 02:31:26
orbit plot

Ei-interaktiivinen kuvaaja | Interaktiivinen kuvaaja

position vs time
speed and acceleration