🇳🇴 🇬🇧 🇩🇪 🇨🇿 🇫🇮

Meteor über Orsa 2019-11-18 02:31:26 UTC

KML-Datei  |  Interaktive Karte

Die Karte zeigt die Peilungen für den Meteor. Die helleren Linien zeigen die Richtungen von den Beobachtungsorten beim Erscheinen des Meteors, und die dunkleren Linien, wo er zuletzt gesehen wurde. Der blaue Pfeil zeigt die sichtbare Bahn des Meteors.

static map
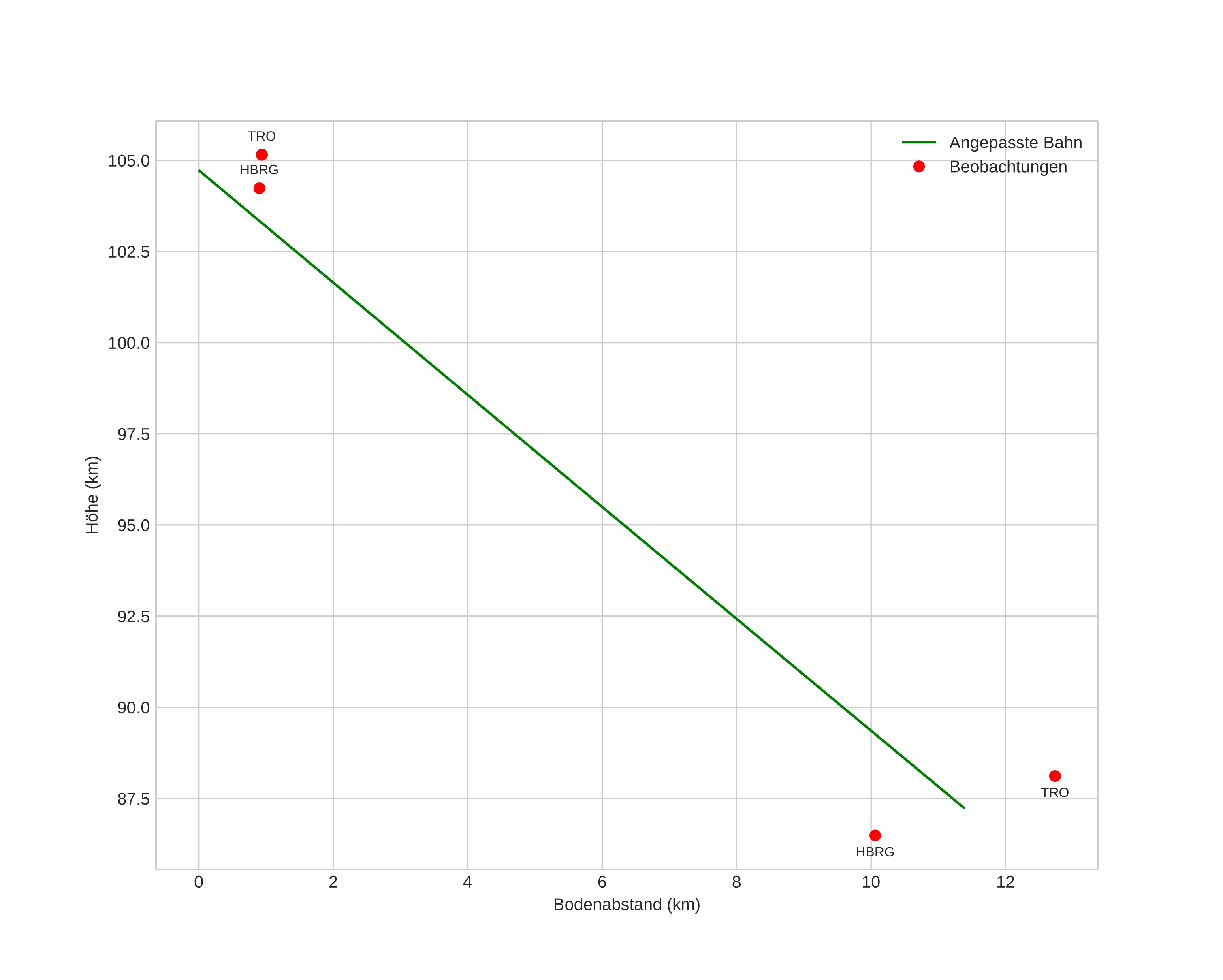
height profile
Atmosphärische Bahn des Meteors:
Anfangshöhe: 106,3 km
Endhöhe: 90,4 km
Startposition: 60,979N 14,944E
Endposition: 61,002N 14,734E
Richtung: 283,2°
Neigungswinkel: 53,7°
Eintrittsgeschwindigkeit: 50,4 km/s
Rektaszension des Radianten: 10:31 (157,8°)
Deklination des Radianten: 39,5°
Meteorstrom: sporadisch
Bahnelemente des Meteoroiden:
Periheldistanz: 0,634 AU
Exzentrizität: 0,220
Inklination: 120,0°
Länge des aufsteigenden Knotens: 235,2°
Argument des Perihels: 350,0°
Mittlere Anomalie: 195,2°
Epoche: 2019 NOV 18 02:31:26
orbit plot

Nicht-interaktives Diagramm | Interaktives Diagramm

position vs time
speed and acceleration