🇳🇴 🇬🇧 🇩🇪 🇨🇿 🇫🇮

Meteor, poloha: Bogen 2019-12-26 15:10:48 UTC

Soubor KML  |  InteraktivnĂ­ mapa

Mapa zobrazuje dráhy meteoru. Světlejší čáry ukazují směry od pozorovacích stanic při objevení se meteoru a tmavší čáry, kde byl naposledy viděn. Modrá šipka značí viditelnou dráhu meteoru.

static map
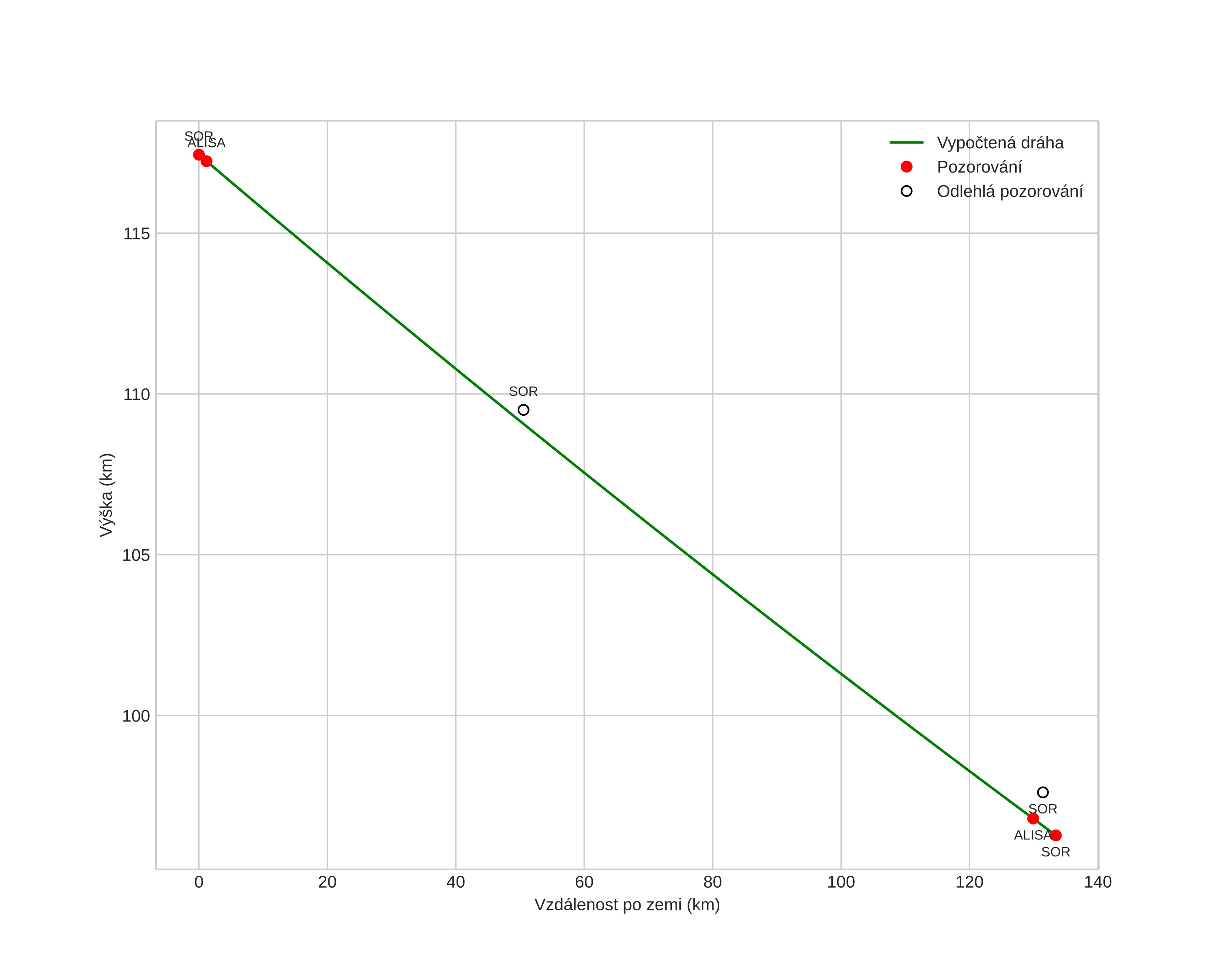
height profile
Atmosférická dráha meteoru:
Počáteční výška: 117,0 km
Konečná výška: 95,6 km
Počáteční poloha: 69,572N 16,767E
Konečná poloha: 68,350N 17,166E
Směr: 173,1°
Sklon: 8,9°
VstupnĂ­ rychlost: 67,1 km/s
Rektascenze radiantu: 11:07 (166,9°)
Deklinace radiantu: 28,6°
MeteorickĂ˝ roj: desember-leonis-minoridene
Elementy dráhy meteoroidu:
Vzdálenost v periheliu: 0,593 AU
Excentricita: 1,126
Sklon dráhy: 135,6°
Délka vzestupného uzlu: 274,3°
Argument perihelia: 255,5°
Střední anomálie: -3,3°
Epocha: 2019 DEC 26 15:10:48
orbit plot

NeinteraktivnĂ­ graf | InteraktivnĂ­ graf

position vs time
speed and acceleration