🇳🇴 🇬🇧 🇩🇪 🇨🇿 🇫🇮

Meteor über Bogen 2019-12-26 15:10:48 UTC

KML-Datei  |  Interaktive Karte

Die Karte zeigt die Peilungen für den Meteor. Die helleren Linien zeigen die Richtungen von den Beobachtungsorten beim Erscheinen des Meteors, und die dunkleren Linien, wo er zuletzt gesehen wurde. Der blaue Pfeil zeigt die sichtbare Bahn des Meteors.

static map
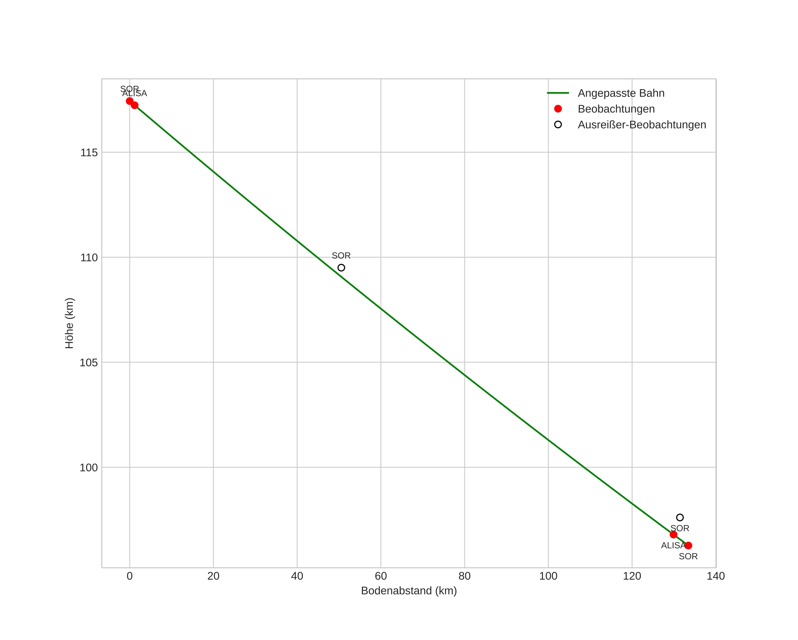
height profile
Atmosphärische Bahn des Meteors:
Anfangshöhe: 117,0 km
Endhöhe: 95,6 km
Startposition: 69,572N 16,767E
Endposition: 68,350N 17,166E
Richtung: 173,1°
Neigungswinkel: 8,9°
Eintrittsgeschwindigkeit: 67,1 km/s
Rektaszension des Radianten: 11:07 (166,9°)
Deklination des Radianten: 28,6°
Meteorstrom: desember-leonis-minoridene
Bahnelemente des Meteoroiden:
Periheldistanz: 0,593 AU
Exzentrizität: 1,126
Inklination: 135,6°
Länge des aufsteigenden Knotens: 274,3°
Argument des Perihels: 255,5°
Mittlere Anomalie: -3,3°
Epoche: 2019 DEC 26 15:10:48
orbit plot

Nicht-interaktives Diagramm | Interaktives Diagramm

position vs time
speed and acceleration