🇳🇴 🇬🇧 🇩🇪 🇨🇿 🇫🇮

Meteor Bogenin yllä 2019-12-26 15:10:48 UTC

KML-tiedosto  |  Interaktiivinen kartta

Kartta näyttää meteorin suuntahavainnot. Vaaleammat viivat näyttävät suunnat havaintoasemilta meteorin ilmestyessä, ja tummemmat viivat näyttävät, missä se viimeksi nähtiin. Sininen nuoli näyttää meteorin näkyvän lennon.

static map
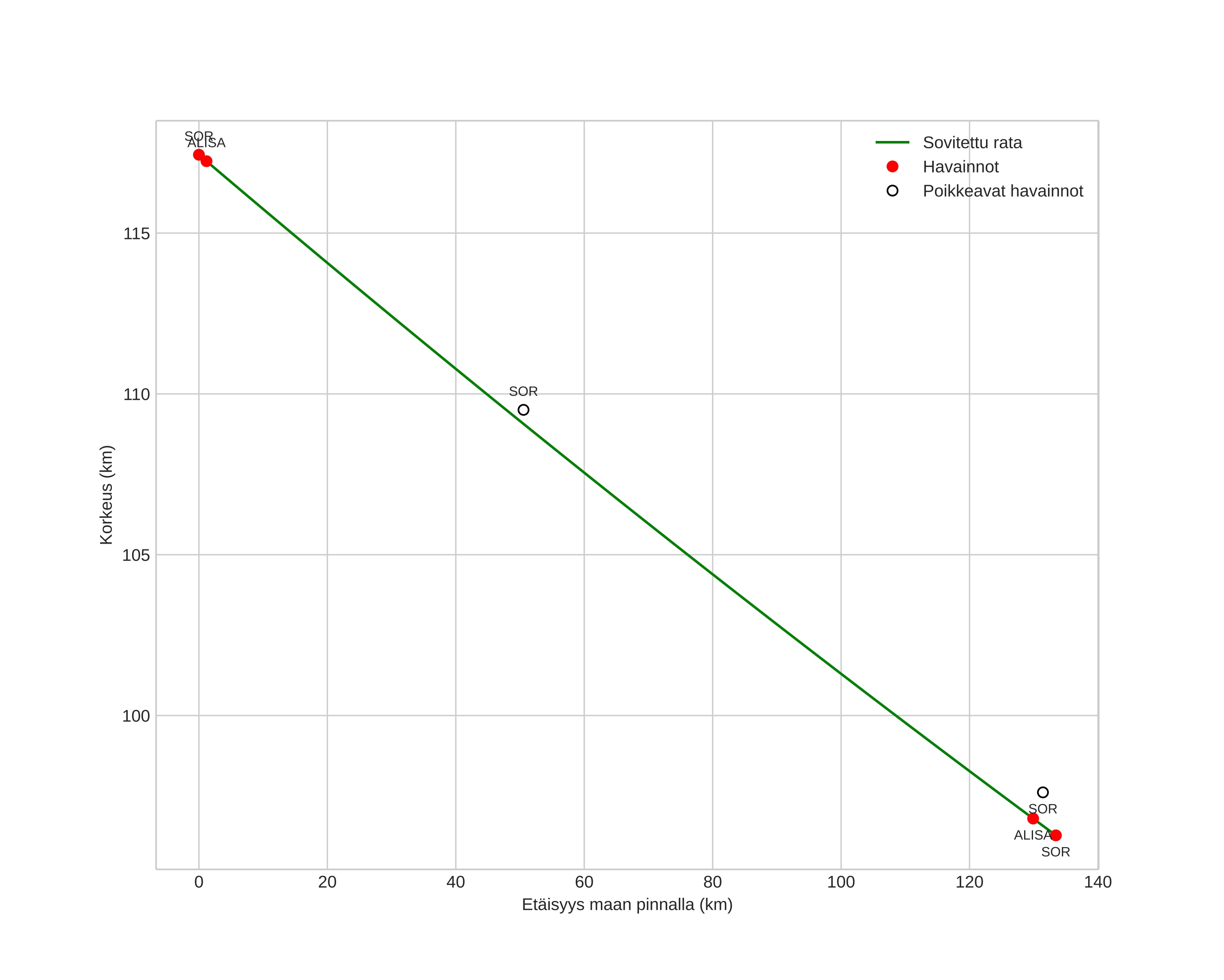
height profile
Meteorin ilmakehärata:
Alkukorkeus: 117,0 km
Loppukorkeus: 95,6 km
Alkupiste: 69,572N 16,767E
Loppupiste: 68,350N 17,166E
Suunta: 173,1°
Kallistuskulma: 8,9°
Tulonopeus: 67,1 km/s
Radiantin R,A,: 11:07 (166,9°)
Radiantin Dekl,: 28,6°
Meteoriparvi: desember-leonis-minoridene
Meteoroidin rataelementit:
Perihelietäisyys: 0,593 AU
Eksentrisyys: 1,126
Inklinaatio: 135,6°
Nousevan solmun pituus: 274,3°
Perihelin argumentti: 255,5°
Keskianomalia: -3,3°
Epookki: 2019 DEC 26 15:10:48
orbit plot

Ei-interaktiivinen kuvaaja | Interaktiivinen kuvaaja

position vs time
speed and acceleration