🇳🇴 🇬🇧 🇩🇪 🇨🇿 🇫🇮

Meteor, poloha: Sande 2020-01-01 23:26:06 UTC

Soubor KML  |  InteraktivnĂ­ mapa

Mapa zobrazuje dráhy meteoru. Světlejší čáry ukazují směry od pozorovacích stanic při objevení se meteoru a tmavší čáry, kde byl naposledy viděn. Modrá šipka značí viditelnou dráhu meteoru.

static map
height profile
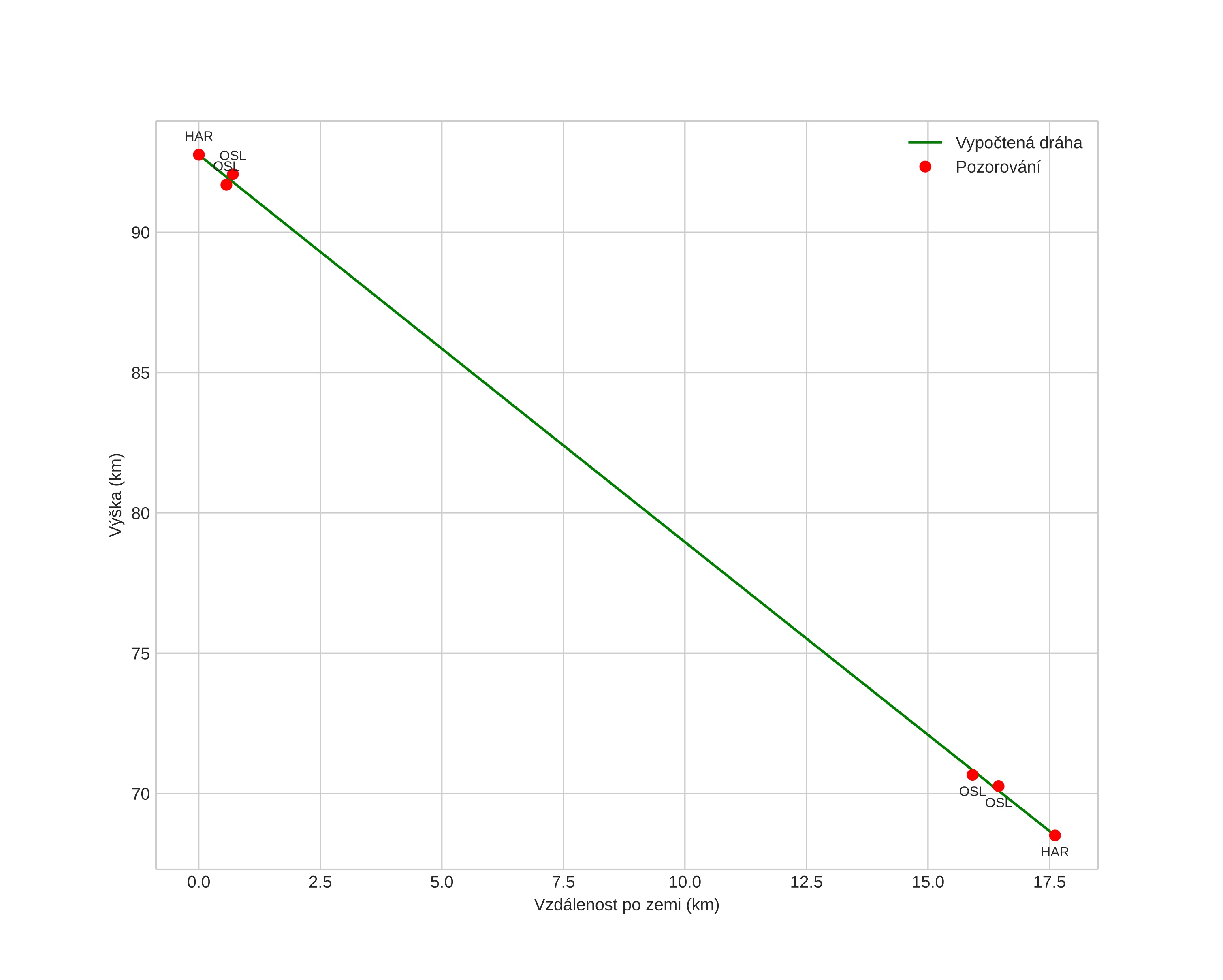
Atmosférická dráha meteoru:
Počáteční výška: 93,2 km
Konečná výška: 68,6 km
Počáteční poloha: 59,402N 10,209E
Konečná poloha: 59,556N 10,111E
Směr: 342,2°
Sklon: 53,9°
VstupnĂ­ rychlost: 33,7 km/s
Rektascenze radiantu: 07:34 (113,6°)
Deklinace radiantu: 23,1°
MeteorickĂ˝ roj: sporadickĂ˝
Elementy dráhy meteoroidu:
Vzdálenost v periheliu: 0,337 AU
Excentricita: 0,910
Sklon dráhy: 1,8°
Délka vzestupného uzlu: 280,7°
Argument perihelia: 292,3°
Střední anomálie: 354,7°
Epocha: 2020 JAN 01 23:26:06
orbit plot

NeinteraktivnĂ­ graf | InteraktivnĂ­ graf

position vs time
speed and acceleration