🇳🇴 🇬🇧 🇩🇪 🇨🇿 🇫🇮

Meteor über Sande 2020-01-01 23:26:06 UTC

KML-Datei  |  Interaktive Karte

Die Karte zeigt die Peilungen für den Meteor. Die helleren Linien zeigen die Richtungen von den Beobachtungsorten beim Erscheinen des Meteors, und die dunkleren Linien, wo er zuletzt gesehen wurde. Der blaue Pfeil zeigt die sichtbare Bahn des Meteors.

static map
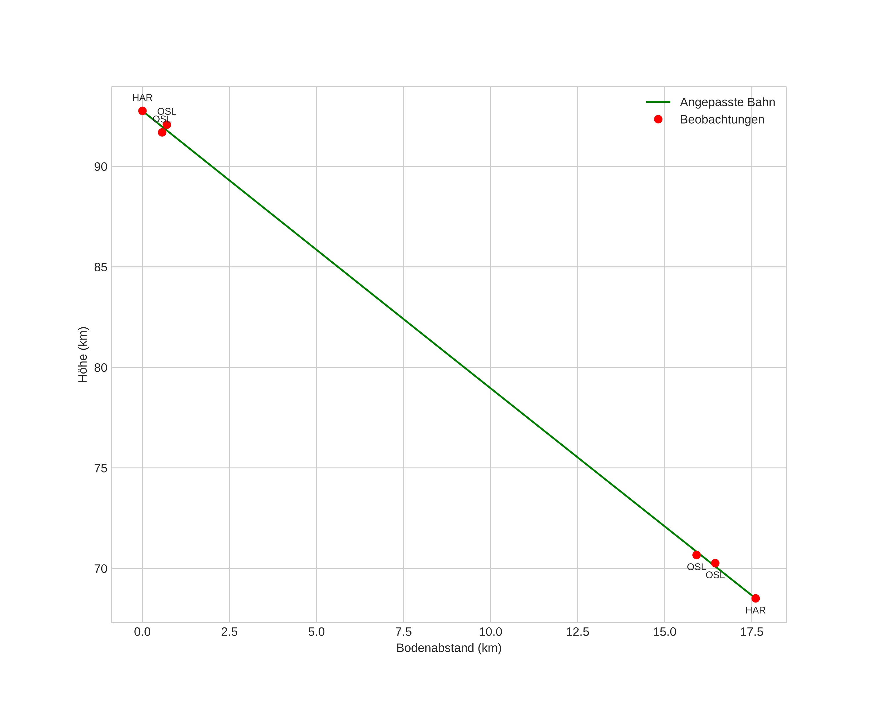
height profile
Atmosphärische Bahn des Meteors:
Anfangshöhe: 93,2 km
Endhöhe: 68,6 km
Startposition: 59,402N 10,209E
Endposition: 59,556N 10,111E
Richtung: 342,2°
Neigungswinkel: 53,9°
Eintrittsgeschwindigkeit: 33,7 km/s
Rektaszension des Radianten: 07:34 (113,6°)
Deklination des Radianten: 23,1°
Meteorstrom: sporadisch
Bahnelemente des Meteoroiden:
Periheldistanz: 0,337 AU
Exzentrizität: 0,910
Inklination: 1,8°
Länge des aufsteigenden Knotens: 280,7°
Argument des Perihels: 292,3°
Mittlere Anomalie: 354,7°
Epoche: 2020 JAN 01 23:26:06
orbit plot

Nicht-interaktives Diagramm | Interaktives Diagramm

position vs time
speed and acceleration