🇳🇴 🇬🇧 🇩🇪 🇨🇿 🇫🇮

Meteor Sanden yllä 2020-01-01 23:26:06 UTC

KML-tiedosto  |  Interaktiivinen kartta

Kartta näyttää meteorin suuntahavainnot. Vaaleammat viivat näyttävät suunnat havaintoasemilta meteorin ilmestyessä, ja tummemmat viivat näyttävät, missä se viimeksi nähtiin. Sininen nuoli näyttää meteorin näkyvän lennon.

static map
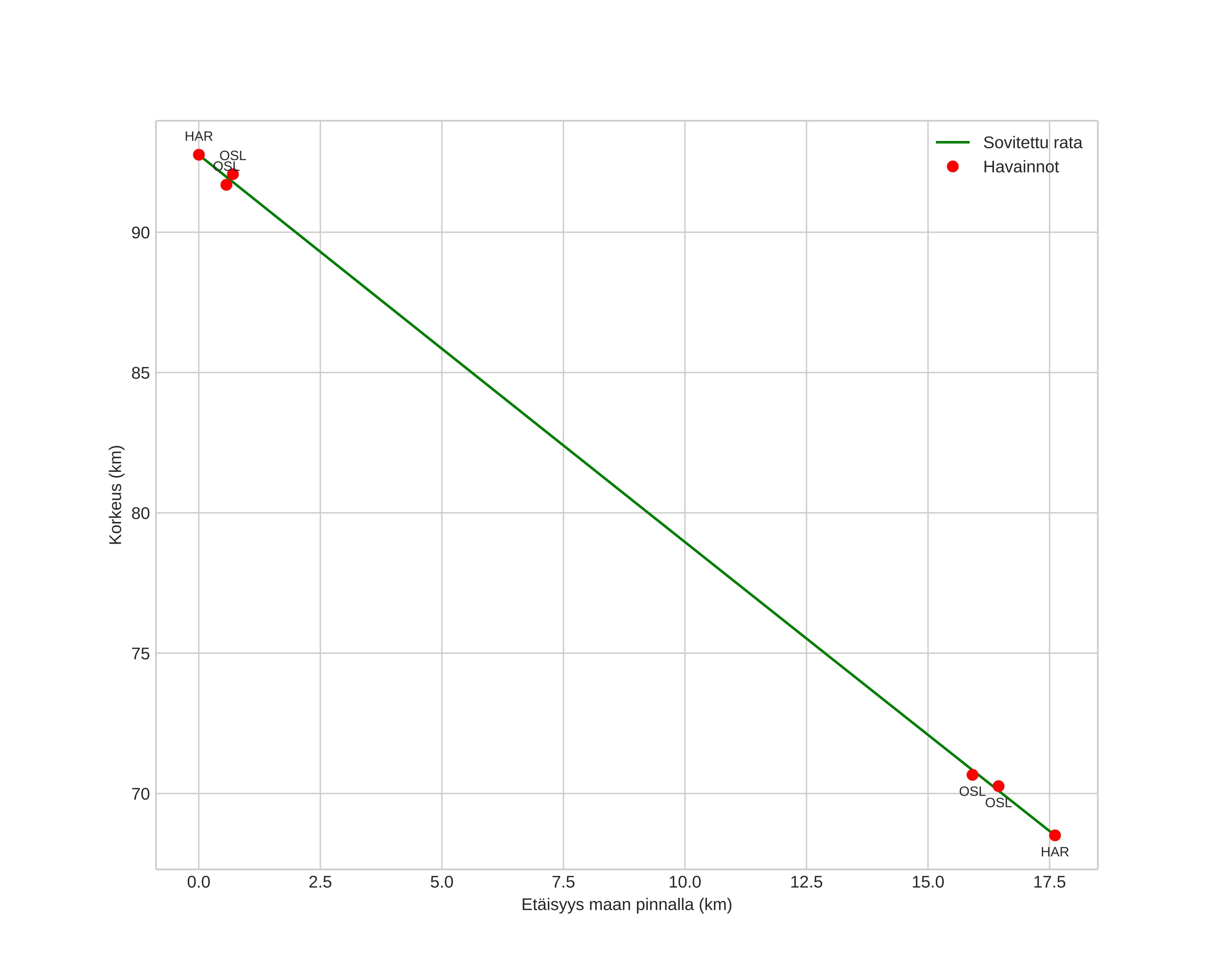
height profile
Meteorin ilmakehärata:
Alkukorkeus: 93,2 km
Loppukorkeus: 68,6 km
Alkupiste: 59,402N 10,209E
Loppupiste: 59,556N 10,111E
Suunta: 342,2°
Kallistuskulma: 53,9°
Tulonopeus: 33,7 km/s
Radiantin R,A,: 07:34 (113,6°)
Radiantin Dekl,: 23,1°
Meteoriparvi: Sporadinen
Meteoroidin rataelementit:
Perihelietäisyys: 0,337 AU
Eksentrisyys: 0,910
Inklinaatio: 1,8°
Nousevan solmun pituus: 280,7°
Perihelin argumentti: 292,3°
Keskianomalia: 354,7°
Epookki: 2020 JAN 01 23:26:06
orbit plot

Ei-interaktiivinen kuvaaja | Interaktiivinen kuvaaja

position vs time
speed and acceleration