🇳🇴 🇬🇧 🇩🇪 🇨🇿 🇫🇮

Meteor, poloha: Sarpsborg 2020-01-04 06:42:49 UTC

Soubor KML  |  InteraktivnĂ­ mapa

Mapa zobrazuje dráhy meteoru. Světlejší čáry ukazují směry od pozorovacích stanic při objevení se meteoru a tmavší čáry, kde byl naposledy viděn. Modrá šipka značí viditelnou dráhu meteoru.

static map
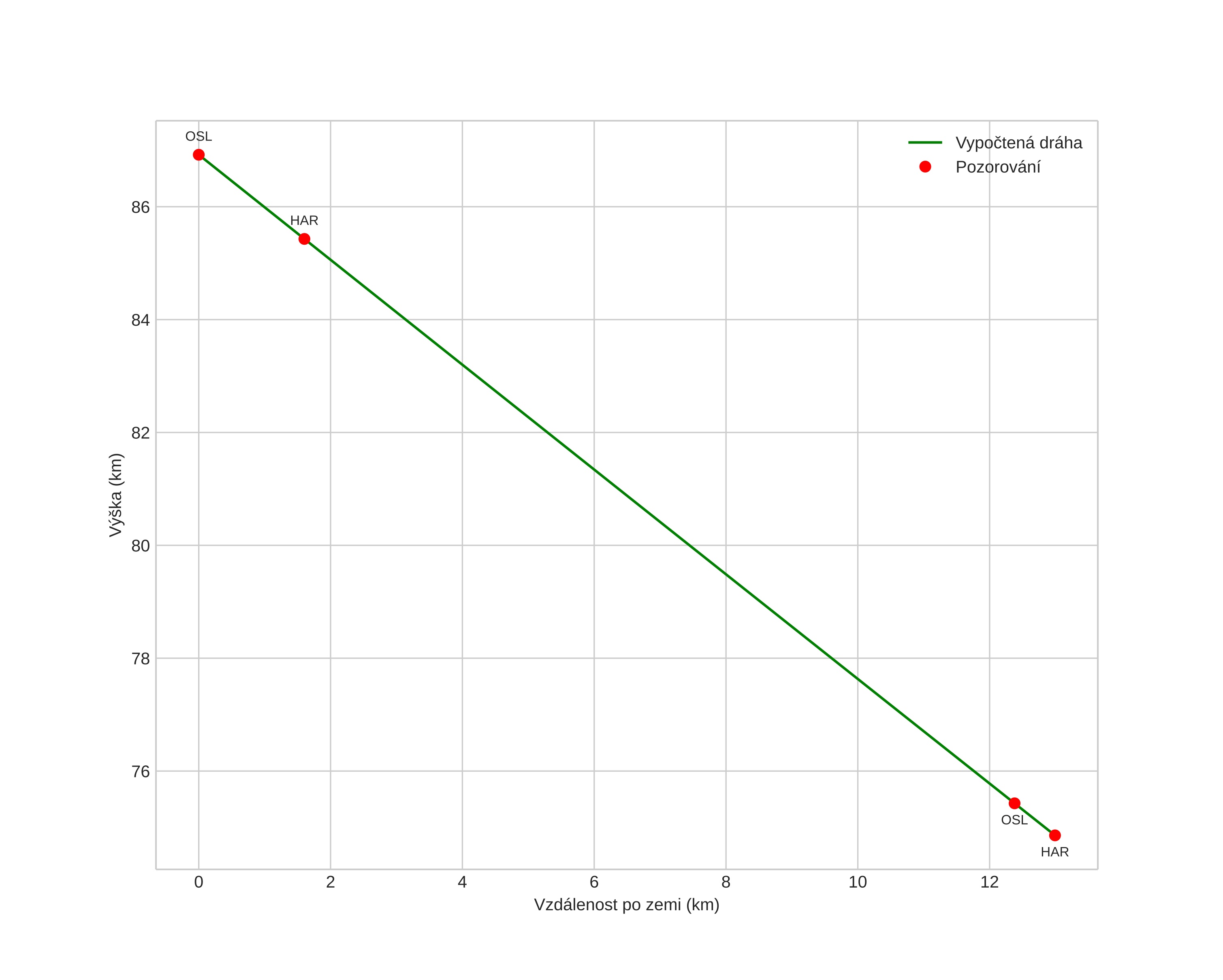
height profile
Atmosférická dráha meteoru:
Počáteční výška: 89,6 km
Konečná výška: 70,3 km
Počáteční poloha: 59,364N 11,393E
Konečná poloha: 59,365N 11,066E
Směr: 270,3°
Sklon: 46,1°
VstupnĂ­ rychlost: 26,6 km/s
Rektascenze radiantu: 18:33 (278,5°)
Deklinace radiantu: 36,7°
MeteorickĂ˝ roj: sporadickĂ˝
Elementy dráhy meteoroidu:
Vzdálenost v periheliu: 0,866 AU
Excentricita: 0,702
Sklon dráhy: 34,3°
Délka vzestupného uzlu: 283,1°
Argument perihelia: 135,4°
Střední anomálie: 6,1°
Epocha: 2020 JAN 04 06:42:49
orbit plot

NeinteraktivnĂ­ graf | InteraktivnĂ­ graf

position vs time
speed and acceleration