🇳🇴 🇬🇧 🇩🇪 🇨🇿 🇫🇮

Meteor über Sarpsborg 2020-01-04 06:42:49 UTC

KML-Datei  |  Interaktive Karte

Die Karte zeigt die Peilungen für den Meteor. Die helleren Linien zeigen die Richtungen von den Beobachtungsorten beim Erscheinen des Meteors, und die dunkleren Linien, wo er zuletzt gesehen wurde. Der blaue Pfeil zeigt die sichtbare Bahn des Meteors.

static map
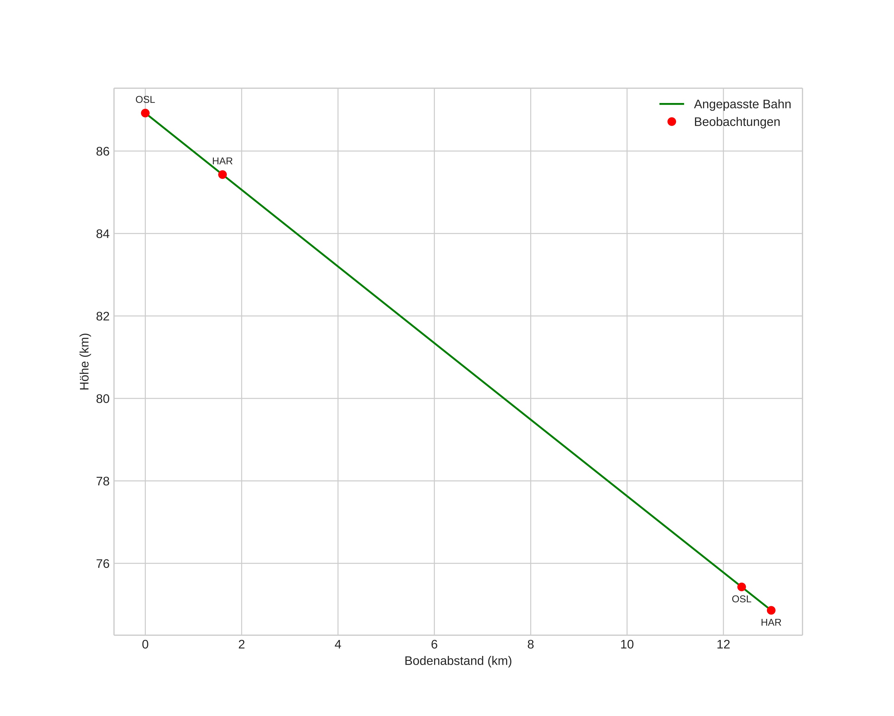
height profile
Atmosphärische Bahn des Meteors:
Anfangshöhe: 89,6 km
Endhöhe: 70,3 km
Startposition: 59,364N 11,393E
Endposition: 59,365N 11,066E
Richtung: 270,3°
Neigungswinkel: 46,1°
Eintrittsgeschwindigkeit: 26,6 km/s
Rektaszension des Radianten: 18:33 (278,5°)
Deklination des Radianten: 36,7°
Meteorstrom: sporadisch
Bahnelemente des Meteoroiden:
Periheldistanz: 0,866 AU
Exzentrizität: 0,702
Inklination: 34,3°
Länge des aufsteigenden Knotens: 283,1°
Argument des Perihels: 135,4°
Mittlere Anomalie: 6,1°
Epoche: 2020 JAN 04 06:42:49
orbit plot

Nicht-interaktives Diagramm | Interaktives Diagramm

position vs time
speed and acceleration