🇳🇴 🇬🇧 🇩🇪 🇨🇿 🇫🇮

Meteor Sarpsborgin yllä 2020-01-04 06:42:49 UTC

KML-tiedosto  |  Interaktiivinen kartta

Kartta näyttää meteorin suuntahavainnot. Vaaleammat viivat näyttävät suunnat havaintoasemilta meteorin ilmestyessä, ja tummemmat viivat näyttävät, missä se viimeksi nähtiin. Sininen nuoli näyttää meteorin näkyvän lennon.

static map
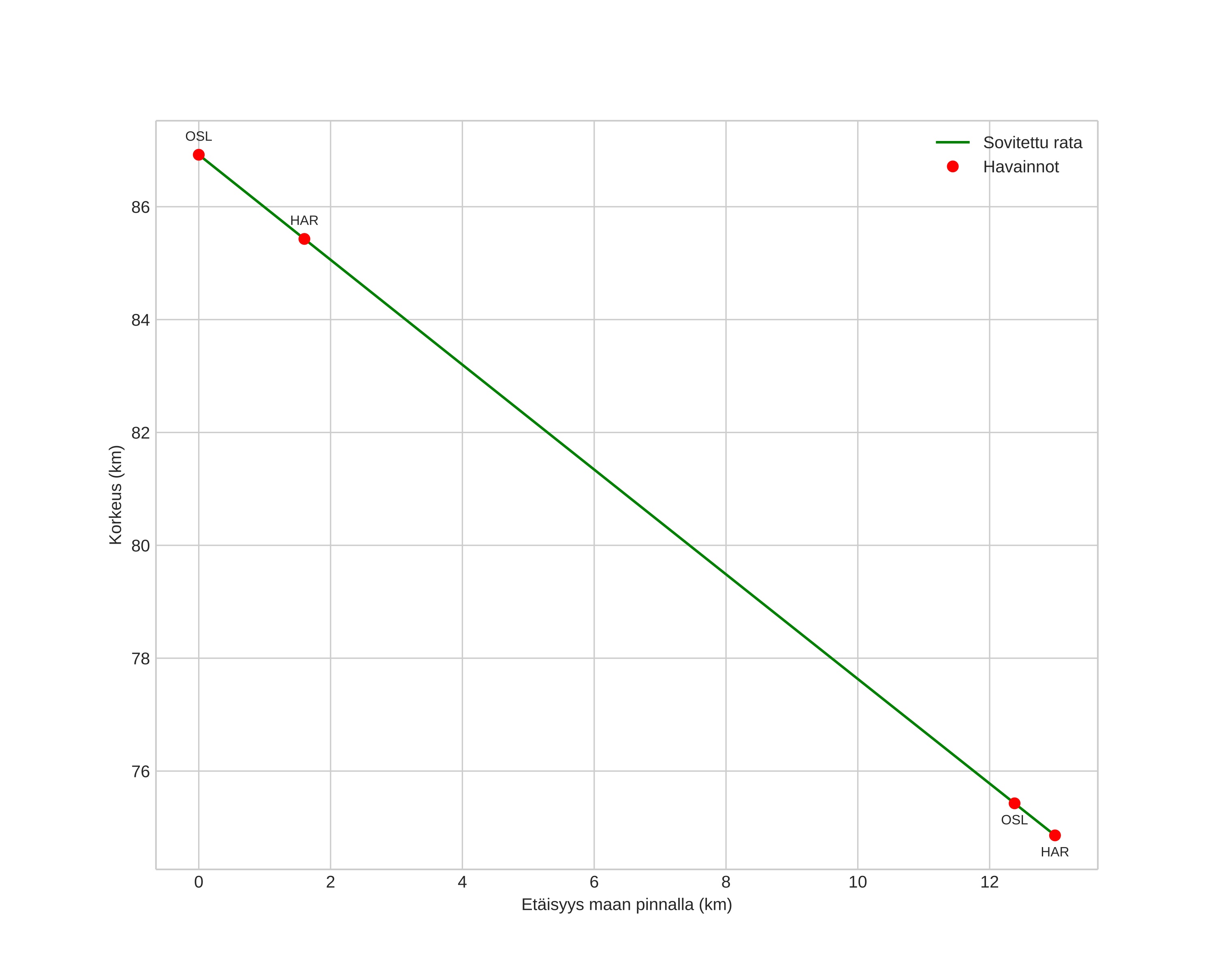
height profile
Meteorin ilmakehärata:
Alkukorkeus: 89,6 km
Loppukorkeus: 70,3 km
Alkupiste: 59,364N 11,393E
Loppupiste: 59,365N 11,066E
Suunta: 270,3°
Kallistuskulma: 46,1°
Tulonopeus: 26,6 km/s
Radiantin R,A,: 18:33 (278,5°)
Radiantin Dekl,: 36,7°
Meteoriparvi: Sporadinen
Meteoroidin rataelementit:
Perihelietäisyys: 0,866 AU
Eksentrisyys: 0,702
Inklinaatio: 34,3°
Nousevan solmun pituus: 283,1°
Perihelin argumentti: 135,4°
Keskianomalia: 6,1°
Epookki: 2020 JAN 04 06:42:49
orbit plot

Ei-interaktiivinen kuvaaja | Interaktiivinen kuvaaja

position vs time
speed and acceleration