🇳🇴 🇬🇧 🇩🇪 🇨🇿 🇫🇮

Meteor, poloha: RĂĄholt 2020-01-08 23:34:08 UTC

Soubor KML  |  InteraktivnĂ­ mapa

Mapa zobrazuje dráhy meteoru. Světlejší čáry ukazují směry od pozorovacích stanic při objevení se meteoru a tmavší čáry, kde byl naposledy viděn. Modrá šipka značí viditelnou dráhu meteoru.

static map
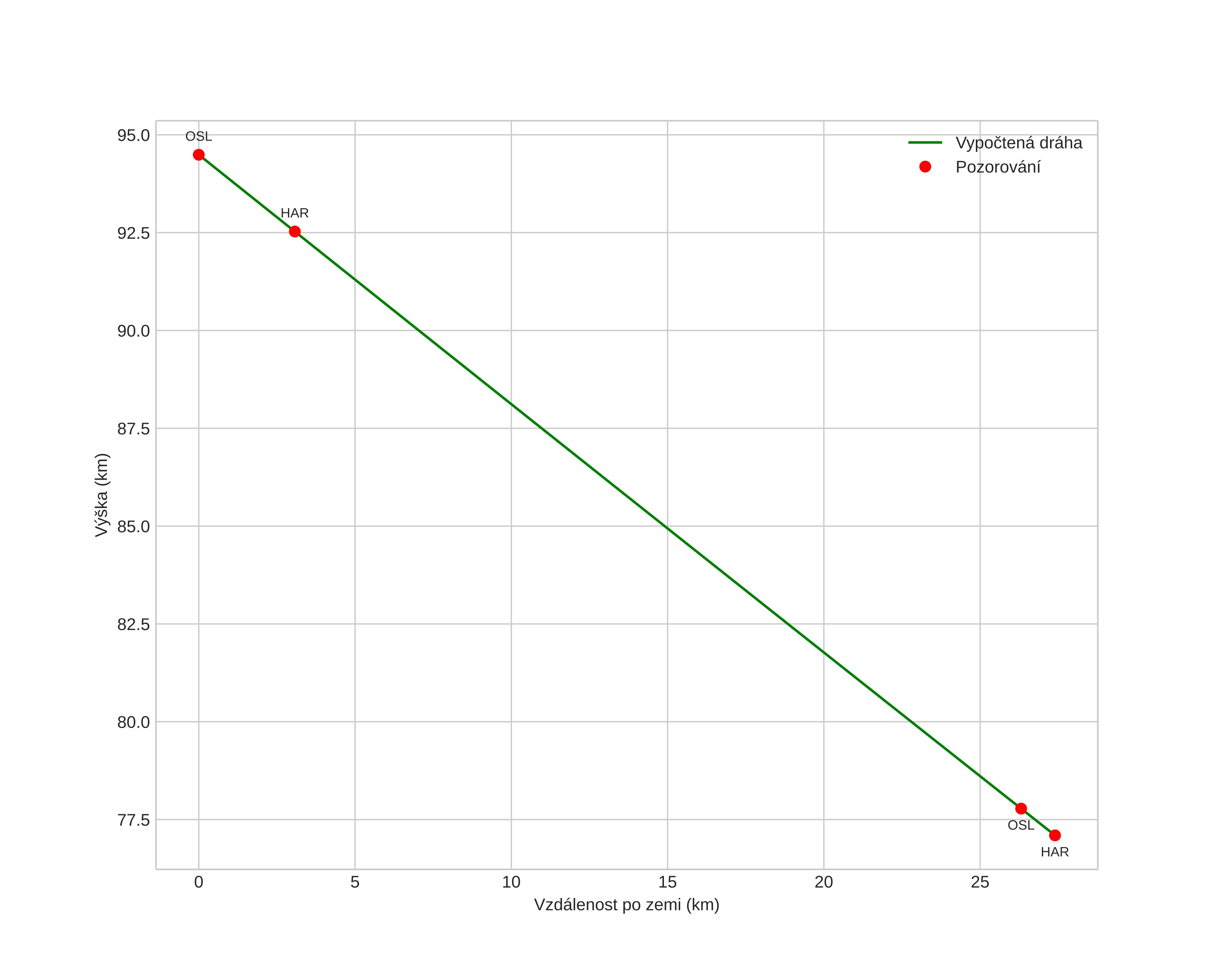
height profile
Atmosférická dráha meteoru:
Počáteční výška: 101,3 km
Konečná výška: 79,7 km
Počáteční poloha: 60,492N 11,536E
Konečná poloha: 60,286N 11,164E
Směr: 221,9°
Sklon: 35,1°
VstupnĂ­ rychlost: 45,5 km/s
Rektascenze radiantu: 15:12 (228,1°)
Deklinace radiantu: 52,7°
MeteorickĂ˝ roj: Kvadrantidy
Elementy dráhy meteoroidu:
Vzdálenost v periheliu: 0,982 AU
Excentricita: 0,935
Sklon dráhy: 73,3°
Délka vzestupného uzlu: 287,9°
Argument perihelia: 183,8°
Střední anomálie: 360,0°
Epocha: 2020 JAN 08 23:34:08
orbit plot

NeinteraktivnĂ­ graf | InteraktivnĂ­ graf

position vs time
speed and acceleration