🇳🇴 🇬🇧 🇩🇪 🇨🇿 🇫🇮

Meteor Råholtin yllä 2020-01-08 23:34:08 UTC

KML-tiedosto  |  Interaktiivinen kartta

Kartta näyttää meteorin suuntahavainnot. Vaaleammat viivat näyttävät suunnat havaintoasemilta meteorin ilmestyessä, ja tummemmat viivat näyttävät, missä se viimeksi nähtiin. Sininen nuoli näyttää meteorin näkyvän lennon.

static map
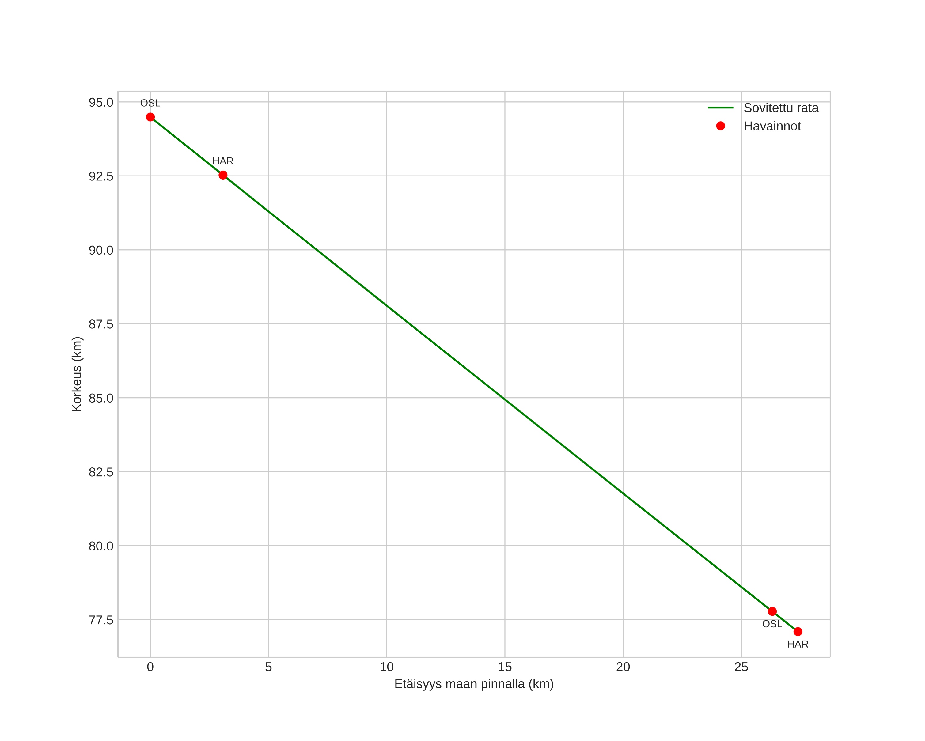
height profile
Meteorin ilmakehärata:
Alkukorkeus: 101,3 km
Loppukorkeus: 79,7 km
Alkupiste: 60,492N 11,536E
Loppupiste: 60,286N 11,164E
Suunta: 221,9°
Kallistuskulma: 35,1°
Tulonopeus: 45,5 km/s
Radiantin R,A,: 15:12 (228,1°)
Radiantin Dekl,: 52,7°
Meteoriparvi: Kvadrantidit
Meteoroidin rataelementit:
Perihelietäisyys: 0,982 AU
Eksentrisyys: 0,935
Inklinaatio: 73,3°
Nousevan solmun pituus: 287,9°
Perihelin argumentti: 183,8°
Keskianomalia: 360,0°
Epookki: 2020 JAN 08 23:34:08
orbit plot

Ei-interaktiivinen kuvaaja | Interaktiivinen kuvaaja

position vs time
speed and acceleration