🇳🇴 🇬🇧 🇩🇪 🇨🇿 🇫🇮

Meteor über Råholt 2020-01-08 23:34:08 UTC

KML-Datei  |  Interaktive Karte

Die Karte zeigt die Peilungen für den Meteor. Die helleren Linien zeigen die Richtungen von den Beobachtungsorten beim Erscheinen des Meteors, und die dunkleren Linien, wo er zuletzt gesehen wurde. Der blaue Pfeil zeigt die sichtbare Bahn des Meteors.

static map
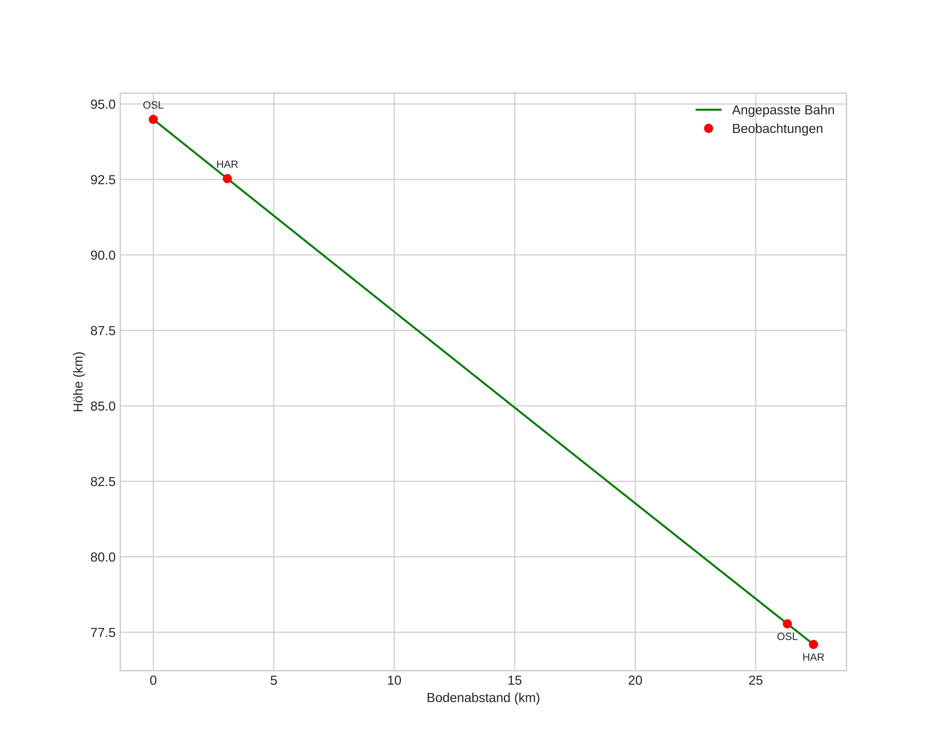
height profile
Atmosphärische Bahn des Meteors:
Anfangshöhe: 101,3 km
Endhöhe: 79,7 km
Startposition: 60,492N 11,536E
Endposition: 60,286N 11,164E
Richtung: 221,9°
Neigungswinkel: 35,1°
Eintrittsgeschwindigkeit: 45,5 km/s
Rektaszension des Radianten: 15:12 (228,1°)
Deklination des Radianten: 52,7°
Meteorstrom: Quadrantiden
Bahnelemente des Meteoroiden:
Periheldistanz: 0,982 AU
Exzentrizität: 0,935
Inklination: 73,3°
Länge des aufsteigenden Knotens: 287,9°
Argument des Perihels: 183,8°
Mittlere Anomalie: 360,0°
Epoche: 2020 JAN 08 23:34:08
orbit plot

Nicht-interaktives Diagramm | Interaktives Diagramm

position vs time
speed and acceleration