🇳🇴 🇬🇧 🇩🇪 🇨🇿 🇫🇮

Meteor, poloha: Tranebjerg 2020-04-04 00:51:23 UTC

Soubor KML  |  InteraktivnĂ­ mapa

Mapa zobrazuje dráhy meteoru. Světlejší čáry ukazují směry od pozorovacích stanic při objevení se meteoru a tmavší čáry, kde byl naposledy viděn. Modrá šipka značí viditelnou dráhu meteoru.

static map
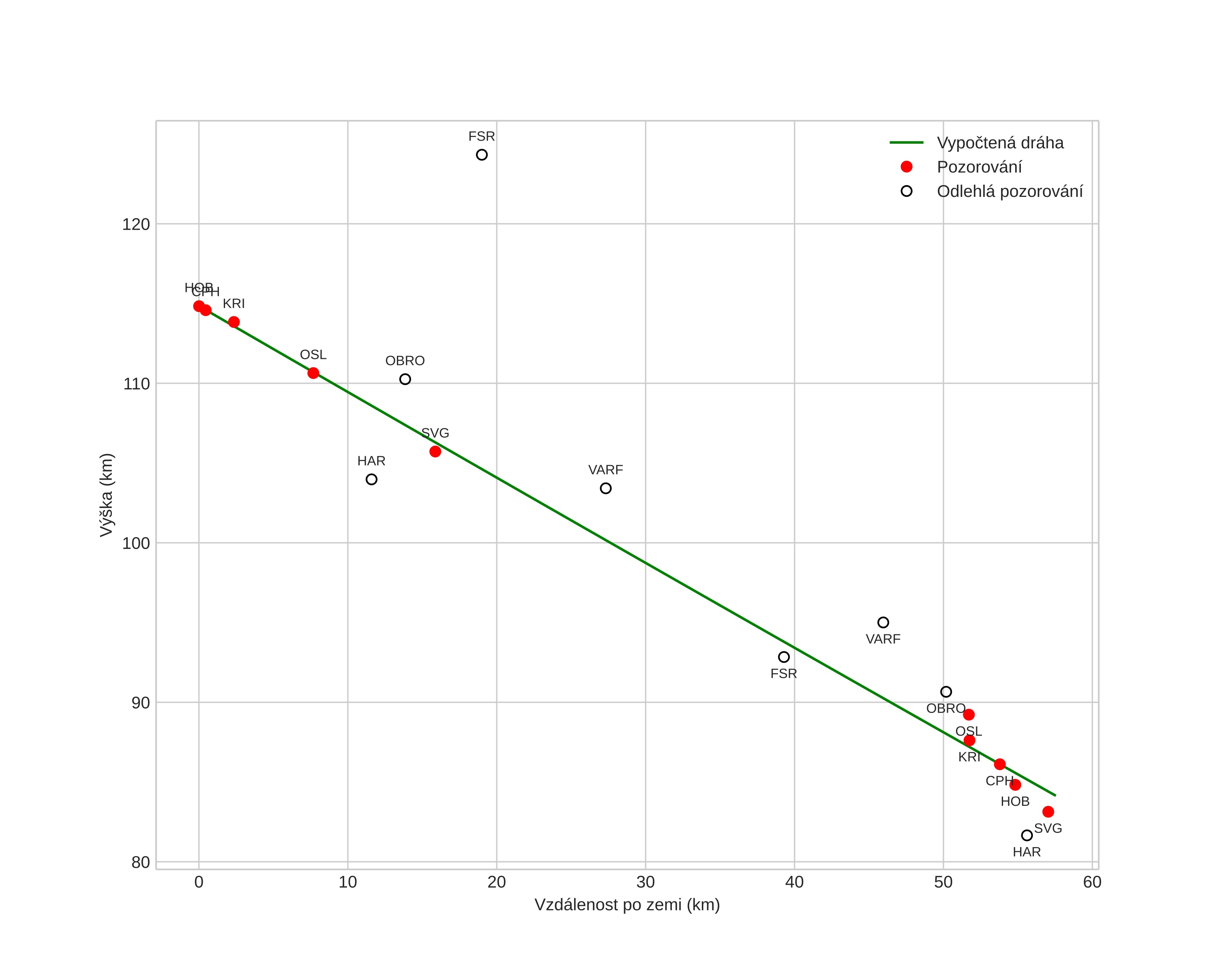
height profile
Atmosférická dráha meteoru:
Počáteční výška: 124,6 km
Konečná výška: 84,3 km
Počáteční poloha: 55,457N 11,607E
Konečná poloha: 55,727N 10,517E
Směr: 294,1°
Sklon: 28,3°
VstupnĂ­ rychlost: 61,7 km/s
Rektascenze radiantu: 18:07 (271,9°)
Deklinace radiantu: 10,3°
MeteorickĂ˝ roj: sporadickĂ˝
Elementy dráhy meteoroidu:
Vzdálenost v periheliu: 0,929 AU
Excentricita: 0,825
Sklon dráhy: 120,1°
Délka vzestupného uzlu: 14,4°
Argument perihelia: 212,5°
Střední anomálie: 358,1°
Epocha: 2020 APR 04 00:51:23
orbit plot

NeinteraktivnĂ­ graf | InteraktivnĂ­ graf

position vs time
speed and acceleration