🇳🇴 🇬🇧 🇩🇪 🇨🇿 🇫🇮

Meteor Tranebjergin yllä 2020-04-04 00:51:23 UTC

KML-tiedosto  |  Interaktiivinen kartta

Kartta näyttää meteorin suuntahavainnot. Vaaleammat viivat näyttävät suunnat havaintoasemilta meteorin ilmestyessä, ja tummemmat viivat näyttävät, missä se viimeksi nähtiin. Sininen nuoli näyttää meteorin näkyvän lennon.

static map
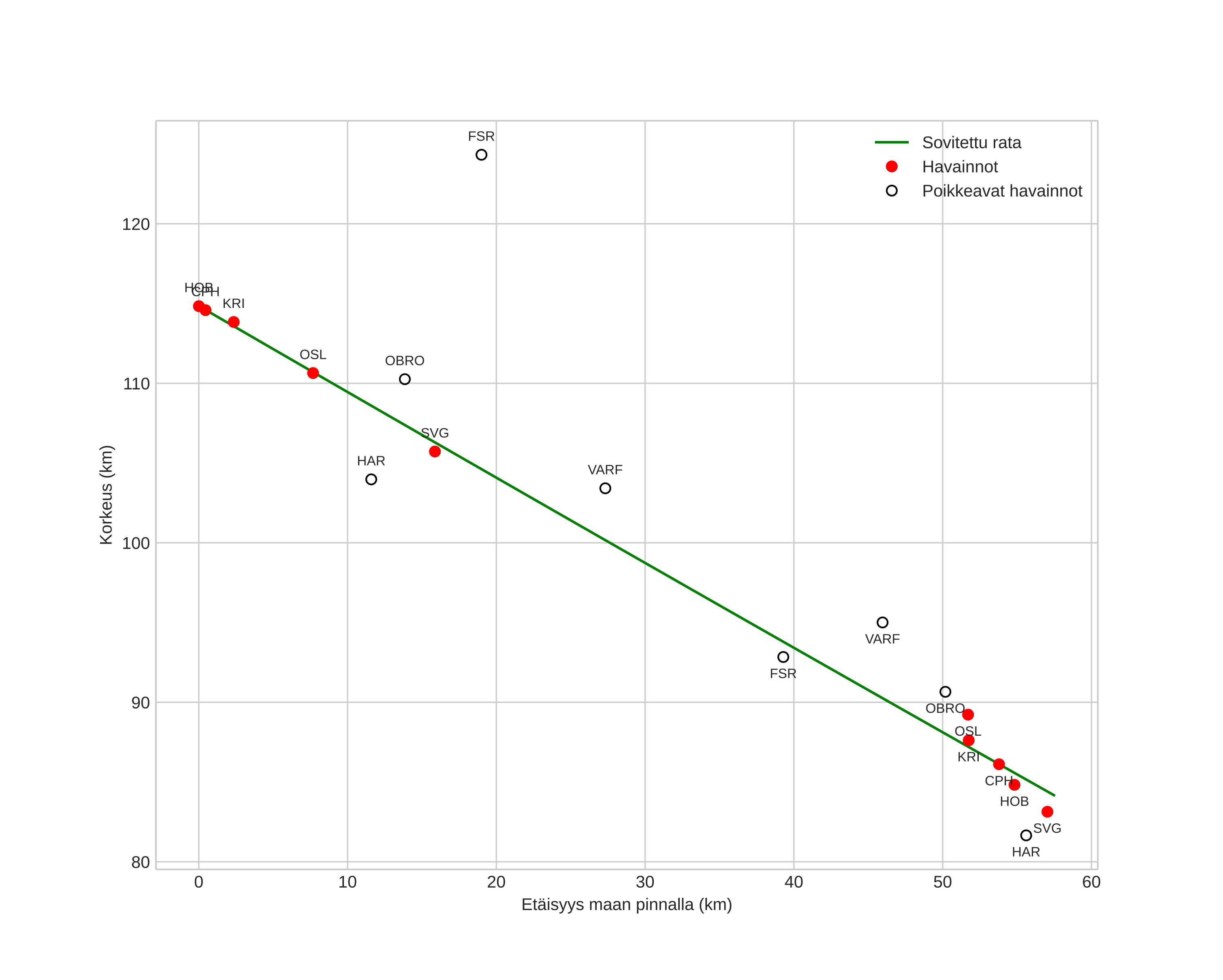
height profile
Meteorin ilmakehärata:
Alkukorkeus: 124,6 km
Loppukorkeus: 84,3 km
Alkupiste: 55,457N 11,607E
Loppupiste: 55,727N 10,517E
Suunta: 294,1°
Kallistuskulma: 28,3°
Tulonopeus: 61,7 km/s
Radiantin R,A,: 18:07 (271,9°)
Radiantin Dekl,: 10,3°
Meteoriparvi: Sporadinen
Meteoroidin rataelementit:
Perihelietäisyys: 0,929 AU
Eksentrisyys: 0,825
Inklinaatio: 120,1°
Nousevan solmun pituus: 14,4°
Perihelin argumentti: 212,5°
Keskianomalia: 358,1°
Epookki: 2020 APR 04 00:51:23
orbit plot

Ei-interaktiivinen kuvaaja | Interaktiivinen kuvaaja

position vs time
speed and acceleration