🇳🇴 🇬🇧 🇩🇪 🇨🇿 🇫🇮

Meteor über Tranebjerg 2020-04-04 00:51:23 UTC

KML-Datei  |  Interaktive Karte

Die Karte zeigt die Peilungen für den Meteor. Die helleren Linien zeigen die Richtungen von den Beobachtungsorten beim Erscheinen des Meteors, und die dunkleren Linien, wo er zuletzt gesehen wurde. Der blaue Pfeil zeigt die sichtbare Bahn des Meteors.

static map
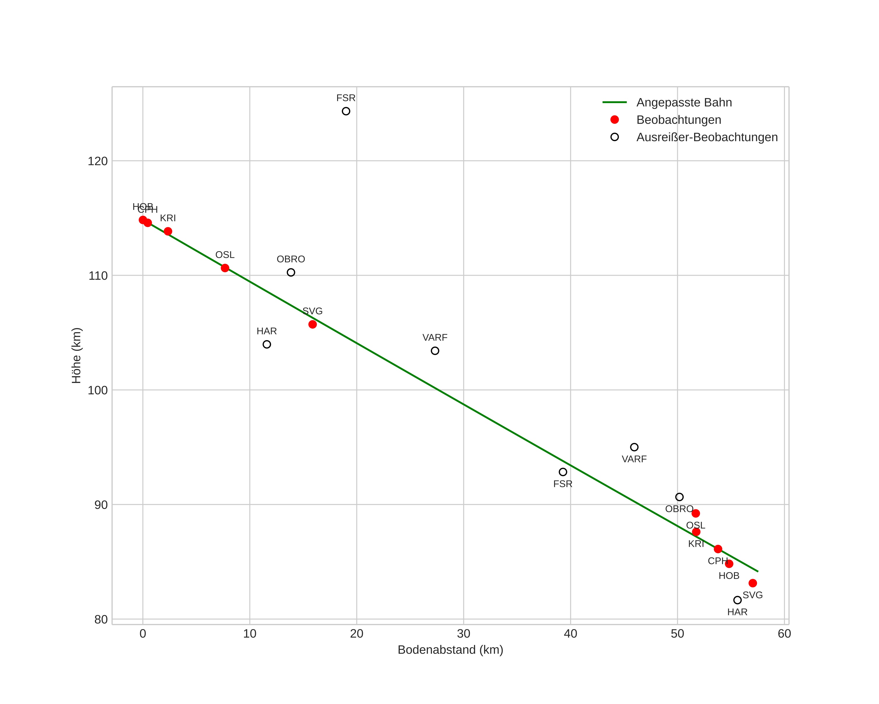
height profile
Atmosphärische Bahn des Meteors:
Anfangshöhe: 124,6 km
Endhöhe: 84,3 km
Startposition: 55,457N 11,607E
Endposition: 55,727N 10,517E
Richtung: 294,1°
Neigungswinkel: 28,3°
Eintrittsgeschwindigkeit: 61,7 km/s
Rektaszension des Radianten: 18:07 (271,9°)
Deklination des Radianten: 10,3°
Meteorstrom: sporadisch
Bahnelemente des Meteoroiden:
Periheldistanz: 0,929 AU
Exzentrizität: 0,825
Inklination: 120,1°
Länge des aufsteigenden Knotens: 14,4°
Argument des Perihels: 212,5°
Mittlere Anomalie: 358,1°
Epoche: 2020 APR 04 00:51:23
orbit plot

Nicht-interaktives Diagramm | Interaktives Diagramm

position vs time
speed and acceleration