🇳🇴 🇬🇧 🇩🇪 🇨🇿 🇫🇮

Meteor, poloha: Strömstad 2020-05-18 23:13:49 UTC

Soubor KML  |  InteraktivnĂ­ mapa

Mapa zobrazuje dráhy meteoru. Světlejší čáry ukazují směry od pozorovacích stanic při objevení se meteoru a tmavší čáry, kde byl naposledy viděn. Modrá šipka značí viditelnou dráhu meteoru.

static map
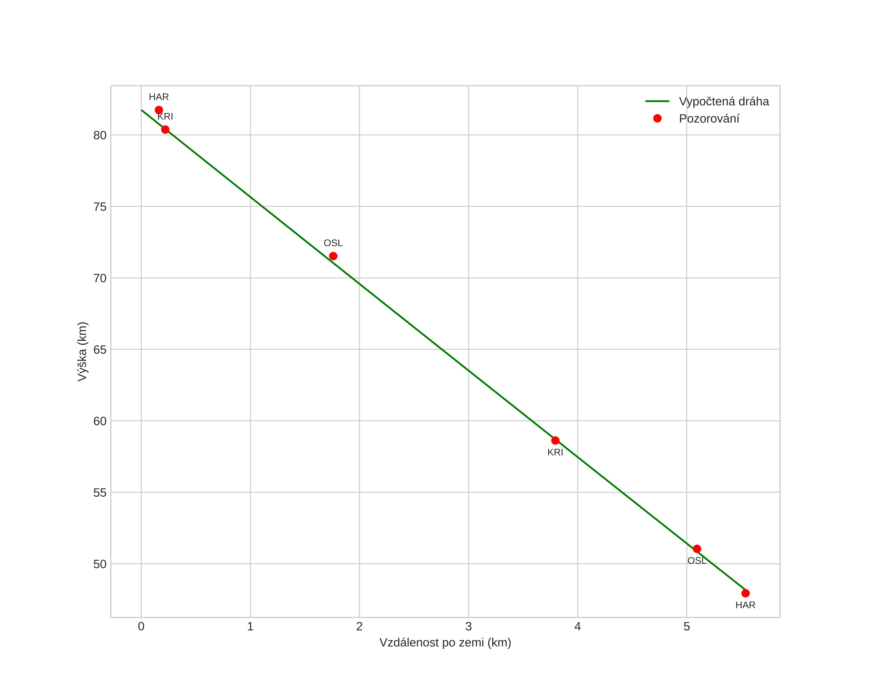
height profile
Atmosférická dráha meteoru:
Počáteční výška: 83,2 km
Konečná výška: 47,8 km
Počáteční poloha: 58,890N 11,062E
Konečná poloha: 58,832N 11,047E
Směr: 187,2°
Sklon: 79,5°
VstupnĂ­ rychlost: 16,9 km/s
Rektascenze radiantu: 15:52 (238,2°)
Deklinace radiantu: 70,7°
MeteorickĂ˝ roj: sporadickĂ˝
Elementy dráhy meteoroidu:
Vzdálenost v periheliu: 1,011 AU
Excentricita: 0,355
Sklon dráhy: 21,2°
Délka vzestupného uzlu: 58,2°
Argument perihelia: 177,1°
Střední anomálie: 1,3°
Epocha: 2020 MAY 18 23:13:49
orbit plot

NeinteraktivnĂ­ graf | InteraktivnĂ­ graf

position vs time
speed and acceleration