🇳🇴 🇬🇧 🇩🇪 🇨🇿 🇫🇮

Meteor über Strömstad 2020-05-18 23:13:49 UTC

KML-Datei  |  Interaktive Karte

Die Karte zeigt die Peilungen für den Meteor. Die helleren Linien zeigen die Richtungen von den Beobachtungsorten beim Erscheinen des Meteors, und die dunkleren Linien, wo er zuletzt gesehen wurde. Der blaue Pfeil zeigt die sichtbare Bahn des Meteors.

static map
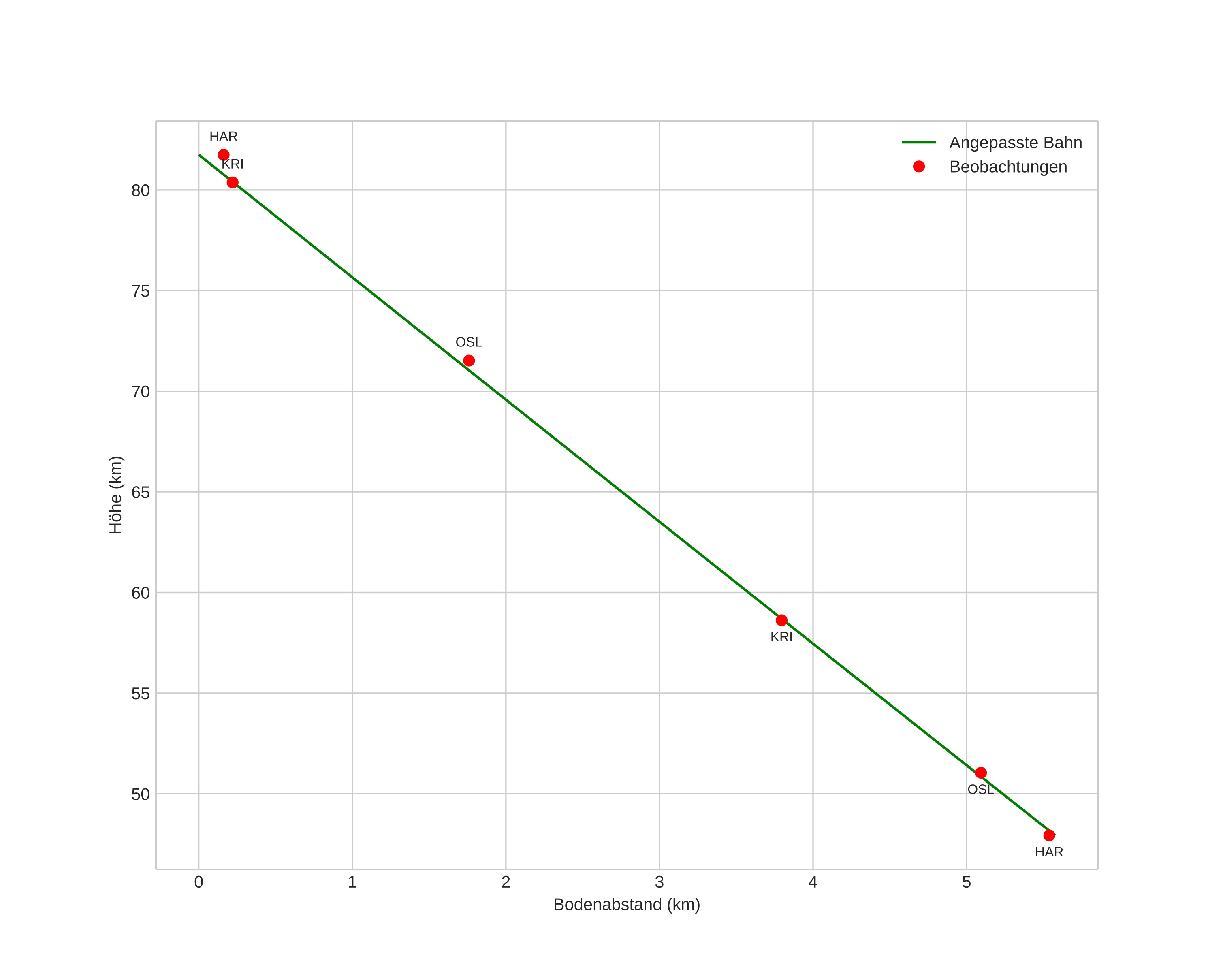
height profile
Atmosphärische Bahn des Meteors:
Anfangshöhe: 83,2 km
Endhöhe: 47,8 km
Startposition: 58,890N 11,062E
Endposition: 58,832N 11,047E
Richtung: 187,2°
Neigungswinkel: 79,5°
Eintrittsgeschwindigkeit: 16,9 km/s
Rektaszension des Radianten: 15:52 (238,2°)
Deklination des Radianten: 70,7°
Meteorstrom: sporadisch
Bahnelemente des Meteoroiden:
Periheldistanz: 1,011 AU
Exzentrizität: 0,355
Inklination: 21,2°
Länge des aufsteigenden Knotens: 58,2°
Argument des Perihels: 177,1°
Mittlere Anomalie: 1,3°
Epoche: 2020 MAY 18 23:13:49
orbit plot

Nicht-interaktives Diagramm | Interaktives Diagramm

position vs time
speed and acceleration