🇳🇴 🇬🇧 🇩🇪 🇨🇿 🇫🇮

Meteor Strömstadin yllä 2020-05-18 23:13:49 UTC

KML-tiedosto  |  Interaktiivinen kartta

Kartta näyttää meteorin suuntahavainnot. Vaaleammat viivat näyttävät suunnat havaintoasemilta meteorin ilmestyessä, ja tummemmat viivat näyttävät, missä se viimeksi nähtiin. Sininen nuoli näyttää meteorin näkyvän lennon.

static map
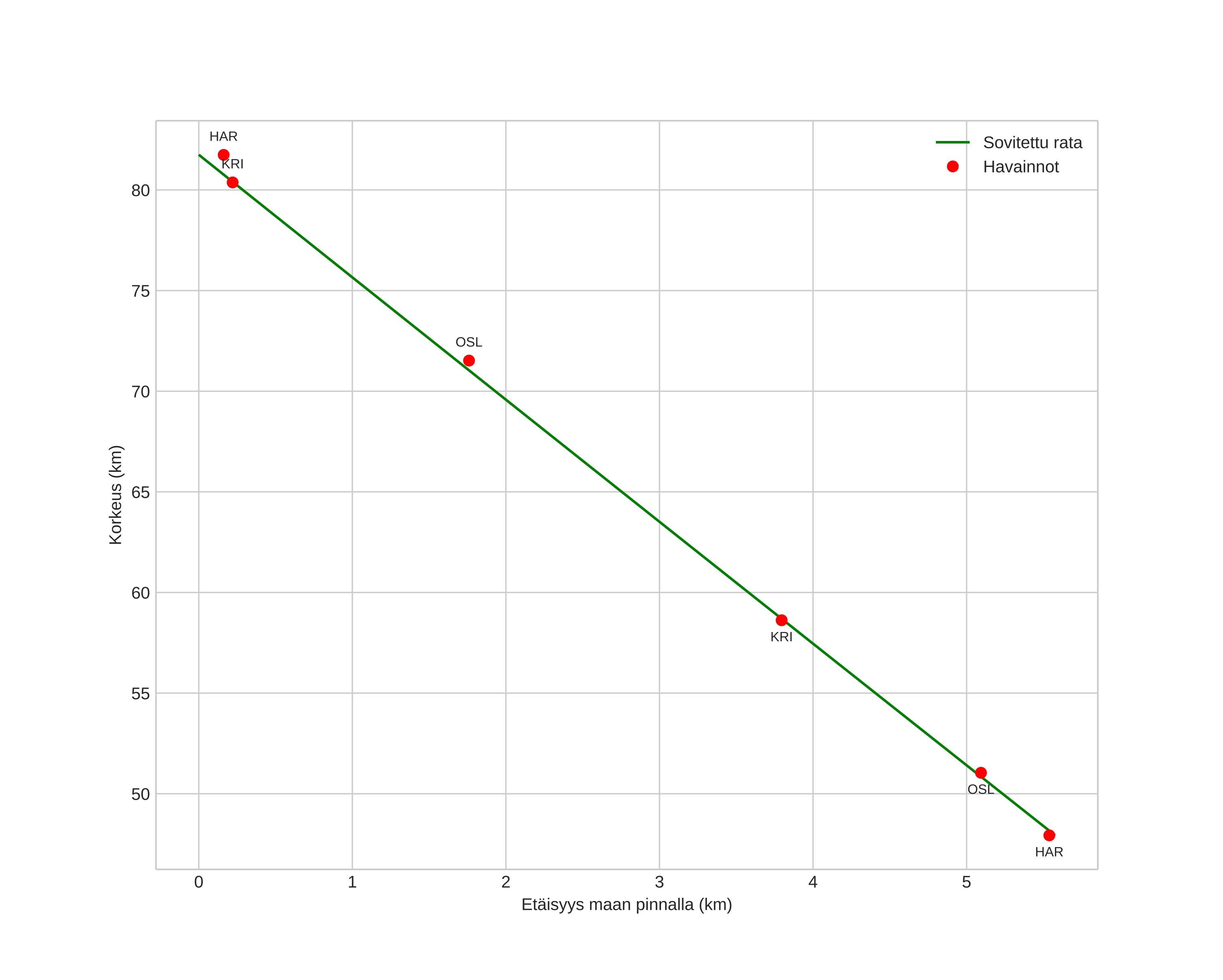
height profile
Meteorin ilmakehärata:
Alkukorkeus: 83,2 km
Loppukorkeus: 47,8 km
Alkupiste: 58,890N 11,062E
Loppupiste: 58,832N 11,047E
Suunta: 187,2°
Kallistuskulma: 79,5°
Tulonopeus: 16,9 km/s
Radiantin R,A,: 15:52 (238,2°)
Radiantin Dekl,: 70,7°
Meteoriparvi: Sporadinen
Meteoroidin rataelementit:
Perihelietäisyys: 1,011 AU
Eksentrisyys: 0,355
Inklinaatio: 21,2°
Nousevan solmun pituus: 58,2°
Perihelin argumentti: 177,1°
Keskianomalia: 1,3°
Epookki: 2020 MAY 18 23:13:49
orbit plot

Ei-interaktiivinen kuvaaja | Interaktiivinen kuvaaja

position vs time
speed and acceleration