🇳🇴 🇬🇧 🇩🇪 🇨🇿 🇫🇮

Meteor, poloha: Kragerø 2020-08-30 22:42:18 UTC

Soubor KML

Mapa zobrazuje dráhy meteoru. Světlejší čáry ukazují směry od pozorovacích stanic při objevení se meteoru a tmavší čáry, kde byl naposledy viděn. Modrá šipka značí viditelnou dráhu meteoru.

static map
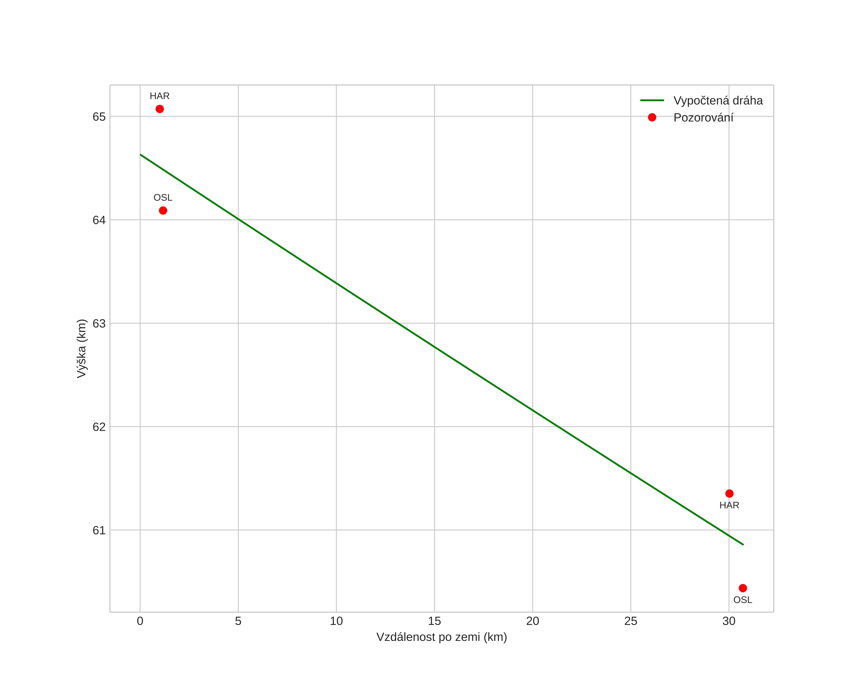
height profile
Atmosférická dráha meteoru:
Počáteční výška: 64,6 km
Konečná výška: 60,9 km
Počáteční poloha: 58,710N 9,705E
Konečná poloha: 58,435N 9,647E
Směr: 186,2°
Sklon: 6,9°
VstupnĂ­ rychlost: 19,8 km/s
Rektascenze radiantu: 09:32 (143,2°)
Deklinace radiantu: 28,5°
MeteorickĂ˝ roj: sporadickĂ˝
Elementy dráhy meteoroidu:
Vzdálenost v periheliu: 0,433 AU
Excentricita: 0,524
Sklon dráhy: 9,0°
Délka vzestupného uzlu: 157,7°
Argument perihelia: 48,6°
Střední anomálie: 72,7°
Epocha: 2020 AUG 30 22:42:18
orbit plot

NeinteraktivnĂ­ graf

position vs time
speed and acceleration