🇳🇴 🇬🇧 🇩🇪 🇨🇿 🇫🇮

Meteor über Kragerø 2020-08-30 22:42:18 UTC

KML-Datei

Die Karte zeigt die Peilungen für den Meteor. Die helleren Linien zeigen die Richtungen von den Beobachtungsorten beim Erscheinen des Meteors, und die dunkleren Linien, wo er zuletzt gesehen wurde. Der blaue Pfeil zeigt die sichtbare Bahn des Meteors.

static map
height profile
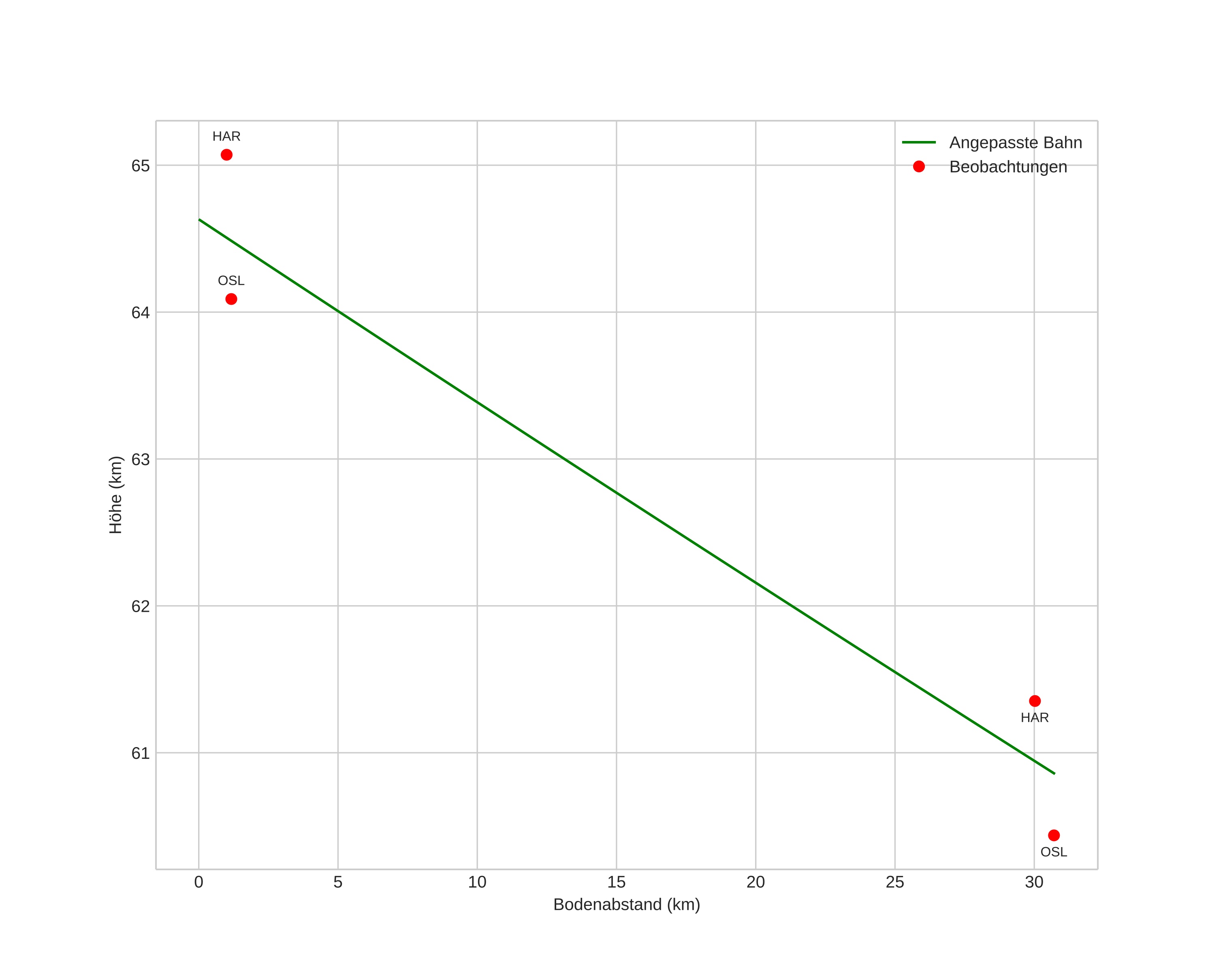
Atmosphärische Bahn des Meteors:
Anfangshöhe: 64,6 km
Endhöhe: 60,9 km
Startposition: 58,710N 9,705E
Endposition: 58,435N 9,647E
Richtung: 186,2°
Neigungswinkel: 6,9°
Eintrittsgeschwindigkeit: 19,8 km/s
Rektaszension des Radianten: 09:32 (143,2°)
Deklination des Radianten: 28,5°
Meteorstrom: sporadisch
Bahnelemente des Meteoroiden:
Periheldistanz: 0,433 AU
Exzentrizität: 0,524
Inklination: 9,0°
Länge des aufsteigenden Knotens: 157,7°
Argument des Perihels: 48,6°
Mittlere Anomalie: 72,7°
Epoche: 2020 AUG 30 22:42:18
orbit plot

Nicht-interaktives Diagramm

position vs time
speed and acceleration