🇳🇴 🇬🇧 🇩🇪 🇨🇿 🇫🇮

Meteor Kragerøin yllä 2020-08-30 22:42:18 UTC

KML-tiedosto

Kartta näyttää meteorin suuntahavainnot. Vaaleammat viivat näyttävät suunnat havaintoasemilta meteorin ilmestyessä, ja tummemmat viivat näyttävät, missä se viimeksi nähtiin. Sininen nuoli näyttää meteorin näkyvän lennon.

static map
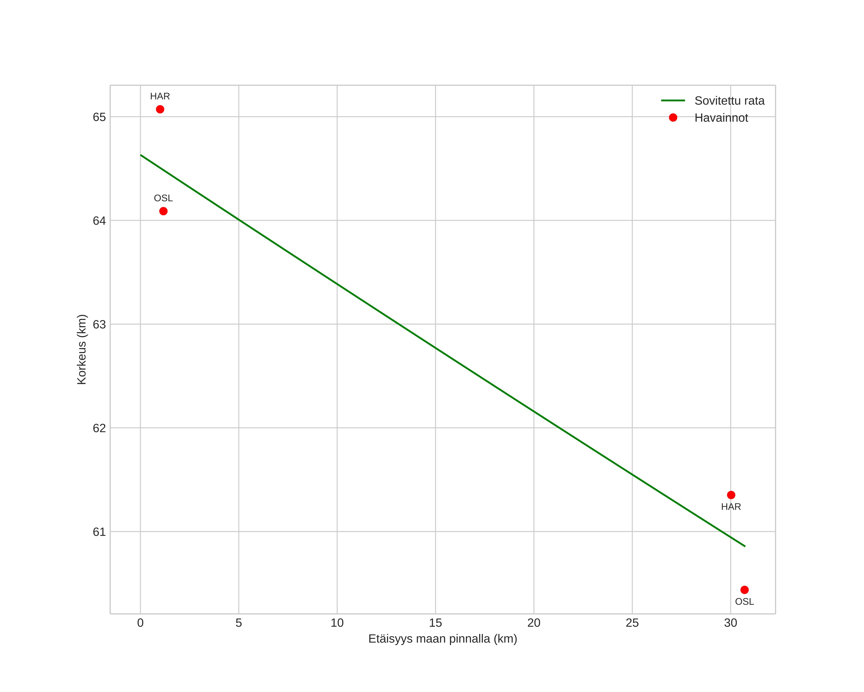
height profile
Meteorin ilmakehärata:
Alkukorkeus: 64,6 km
Loppukorkeus: 60,9 km
Alkupiste: 58,710N 9,705E
Loppupiste: 58,435N 9,647E
Suunta: 186,2°
Kallistuskulma: 6,9°
Tulonopeus: 19,8 km/s
Radiantin R,A,: 09:32 (143,2°)
Radiantin Dekl,: 28,5°
Meteoriparvi: Sporadinen
Meteoroidin rataelementit:
Perihelietäisyys: 0,433 AU
Eksentrisyys: 0,524
Inklinaatio: 9,0°
Nousevan solmun pituus: 157,7°
Perihelin argumentti: 48,6°
Keskianomalia: 72,7°
Epookki: 2020 AUG 30 22:42:18
orbit plot

Ei-interaktiivinen kuvaaja

position vs time
speed and acceleration