🇳🇴 🇬🇧 🇩🇪 🇨🇿 🇫🇮

Meteor, poloha: Ed 2020-09-02 19:36:51 UTC

Soubor KML  |  InteraktivnĂ­ mapa

Mapa zobrazuje dráhy meteoru. Světlejší čáry ukazují směry od pozorovacích stanic při objevení se meteoru a tmavší čáry, kde byl naposledy viděn. Modrá šipka značí viditelnou dráhu meteoru.

static map
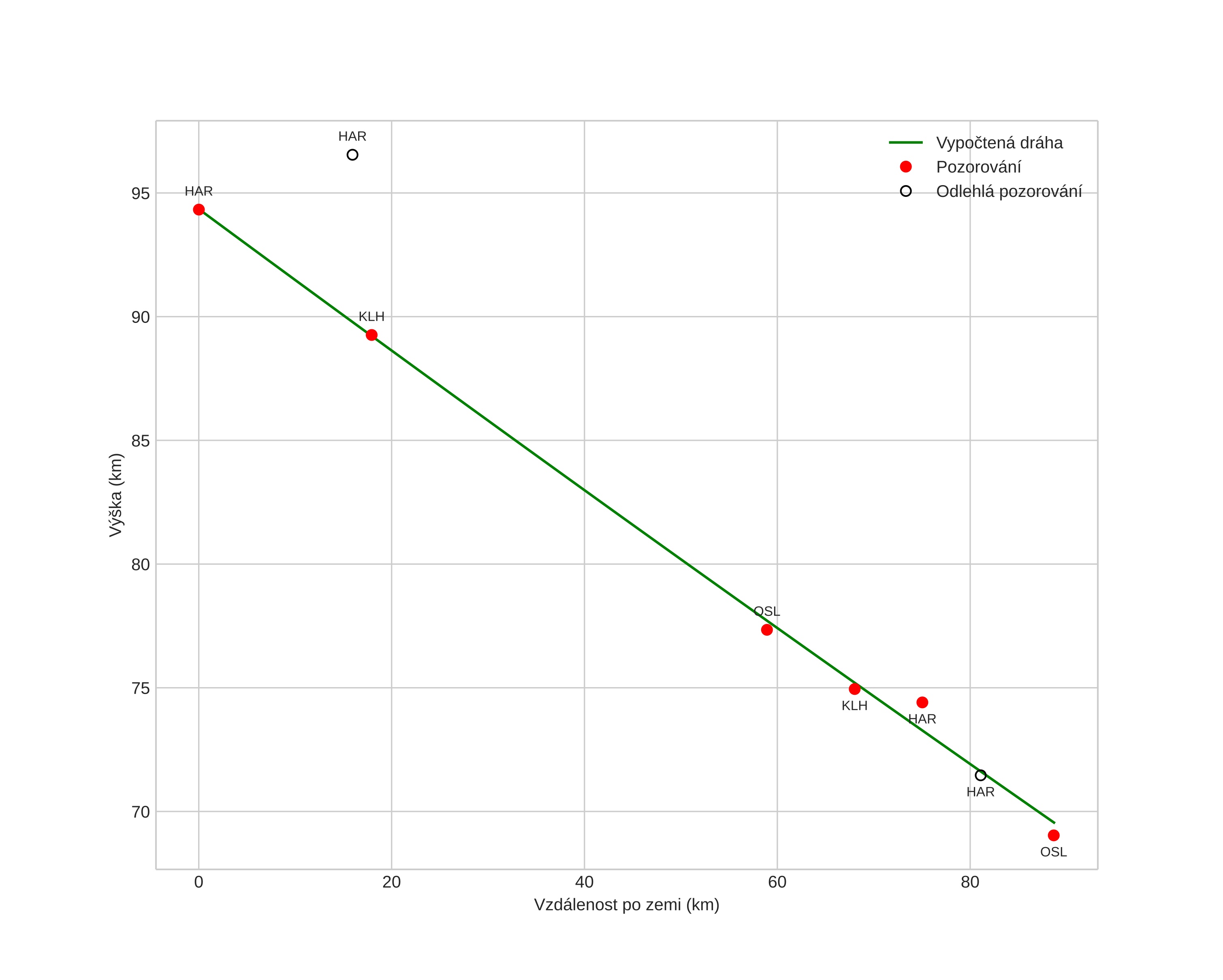
height profile
Atmosférická dráha meteoru:
Počáteční výška: 99,6 km
Konečná výška: 70,0 km
Počáteční poloha: 58,226N 13,095E
Konečná poloha: 58,870N 11,703E
Směr: 312,1°
Sklon: 15,3°
VstupnĂ­ rychlost: 49,6 km/s
Rektascenze radiantu: 22:22 (335,6°)
Deklinace radiantu: -7,8°
MeteorickĂ˝ roj: sporadickĂ˝
Elementy dráhy meteoroidu:
Vzdálenost v periheliu: 0,467 AU
Excentricita: 1,931
Sklon dráhy: 3,0°
Délka vzestupného uzlu: 160,5°
Argument perihelia: 259,4°
Střední anomálie: -74,3°
Epocha: 2020 SEP 02 19:36:51
orbit plot

NeinteraktivnĂ­ graf | InteraktivnĂ­ graf

position vs time
speed and acceleration